🇳🇴 🇬🇧 🇩🇪 🇨🇿 🇫🇮

Meteor Lødingenin yllä 2021-12-04 06:32:56 UTC

KML-tiedosto  |  Interaktiivinen kartta

Kartta näyttää meteorin suuntahavainnot. Vaaleammat viivat näyttävät suunnat havaintoasemilta meteorin ilmestyessä, ja tummemmat viivat näyttävät, missä se viimeksi nähtiin. Sininen nuoli näyttää meteorin näkyvän lennon.

static map
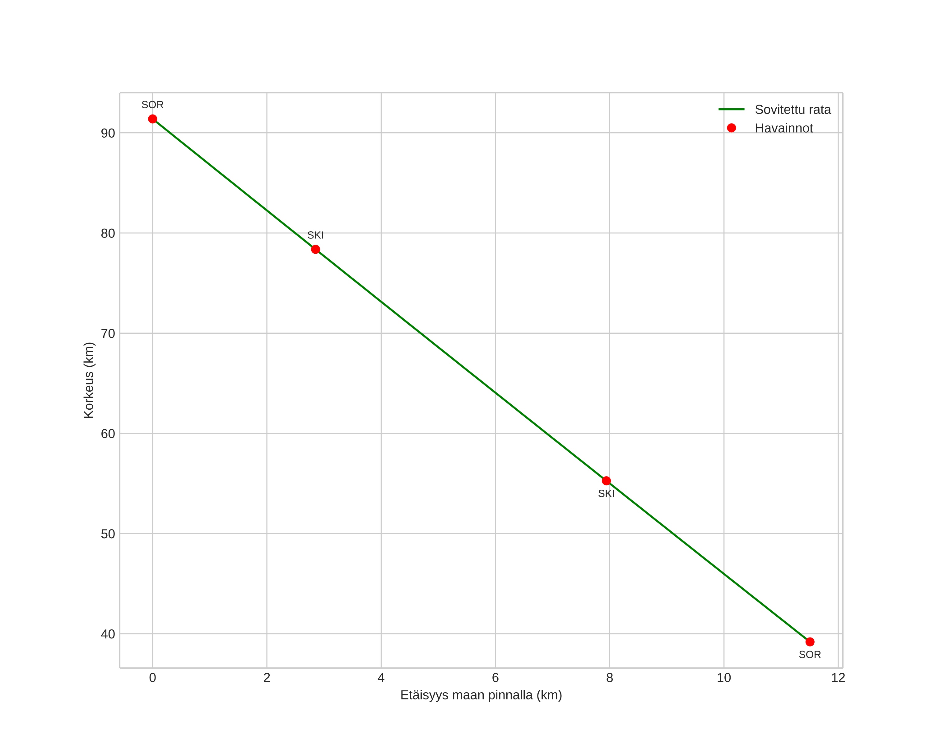
height profile
Meteorin ilmakehärata:
Alkukorkeus: 88,1 km
Loppukorkeus: 37,3 km
Alkupiste: 68,147N 16,285E
Loppupiste: 68,154N 16,020E
Suunta: 274,0°
Kallistuskulma: 77,8°
Tulonopeus: 39,7 km/s
Radiantin R,A,: 14:26 (216,7°)
Radiantin Dekl,: 64,3°
Meteoriparvi: Sporadinen
Meteoroidin rataelementit:
Perihelietäisyys: 0,985 AU
Eksentrisyys: 0,684
Inklinaatio: 65,3°
Nousevan solmun pituus: 252,0°
Perihelin argumentti: 182,0°
Keskianomalia: 359,7°
Epookki: 2021 DEC 04 06:32:56
orbit plot

Ei-interaktiivinen kuvaaja | Interaktiivinen kuvaaja

position vs time
speed and acceleration