🇳🇴 🇬🇧 🇩🇪 🇨🇿 🇫🇮

Meteor, poloha: Finnsnes 2021-12-06 19:38:09 UTC

Soubor KML  |  InteraktivnĂ­ mapa

Mapa zobrazuje dráhy meteoru. Světlejší čáry ukazují směry od pozorovacích stanic při objevení se meteoru a tmavší čáry, kde byl naposledy viděn. Modrá šipka značí viditelnou dráhu meteoru.

static map
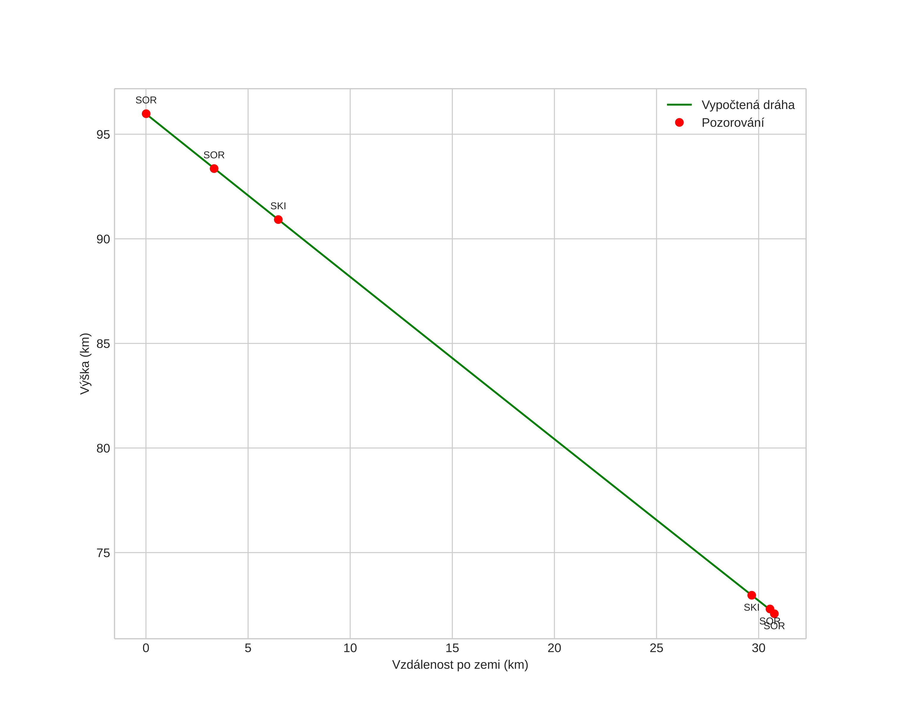
height profile
Atmosférická dráha meteoru:
Počáteční výška: 95,1 km
Konečná výška: 72,0 km
Počáteční poloha: 69,652N 18,890E
Konečná poloha: 69,644N 18,107E
Směr: 268,8°
Sklon: 37,3°
VstupnĂ­ rychlost: 34,9 km/s
Rektascenze radiantu: 07:02 (105,6°)
Deklinace radiantu: 33,8°
MeteorickĂ˝ roj: Geminidy
Elementy dráhy meteoroidu:
Vzdálenost v periheliu: 0,150 AU
Excentricita: 0,878
Sklon dráhy: 23,3°
Délka vzestupného uzlu: 254,6°
Argument perihelia: 324,4°
Střední anomálie: 332,1°
Epocha: 2021 DEC 06 19:38:09
orbit plot

NeinteraktivnĂ­ graf | InteraktivnĂ­ graf

position vs time
speed and acceleration