🇳🇴 🇬🇧 🇩🇪 🇨🇿 🇫🇮

Meteor Finnsnesin yllä 2021-12-06 19:38:09 UTC

KML-tiedosto  |  Interaktiivinen kartta

Kartta näyttää meteorin suuntahavainnot. Vaaleammat viivat näyttävät suunnat havaintoasemilta meteorin ilmestyessä, ja tummemmat viivat näyttävät, missä se viimeksi nähtiin. Sininen nuoli näyttää meteorin näkyvän lennon.

static map
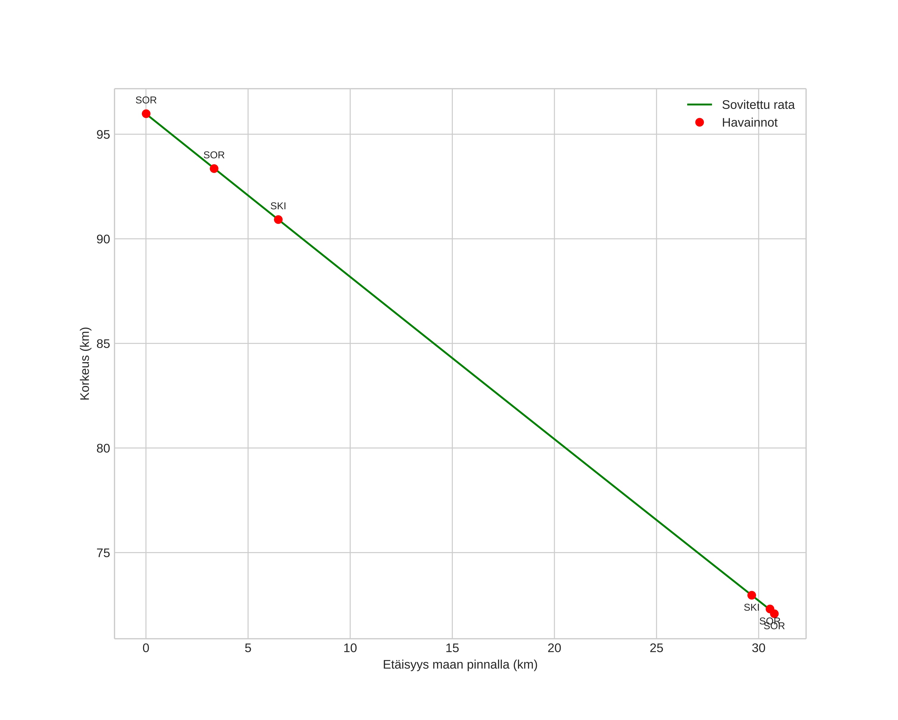
height profile
Meteorin ilmakehärata:
Alkukorkeus: 95,1 km
Loppukorkeus: 72,0 km
Alkupiste: 69,652N 18,890E
Loppupiste: 69,644N 18,107E
Suunta: 268,8°
Kallistuskulma: 37,3°
Tulonopeus: 34,9 km/s
Radiantin R,A,: 07:02 (105,6°)
Radiantin Dekl,: 33,8°
Meteoriparvi: Geminidit
Meteoroidin rataelementit:
Perihelietäisyys: 0,150 AU
Eksentrisyys: 0,878
Inklinaatio: 23,3°
Nousevan solmun pituus: 254,6°
Perihelin argumentti: 324,4°
Keskianomalia: 332,1°
Epookki: 2021 DEC 06 19:38:09
orbit plot

Ei-interaktiivinen kuvaaja | Interaktiivinen kuvaaja

position vs time
speed and acceleration