🇳🇴 🇬🇧 🇩🇪 🇨🇿 🇫🇮

Meteor, poloha: Myre 2021-12-07 14:22:56 UTC

Soubor KML

Mapa zobrazuje dráhy meteoru. Světlejší čáry ukazují směry od pozorovacích stanic při objevení se meteoru a tmavší čáry, kde byl naposledy viděn. Modrá šipka značí viditelnou dráhu meteoru.

static map
height profile
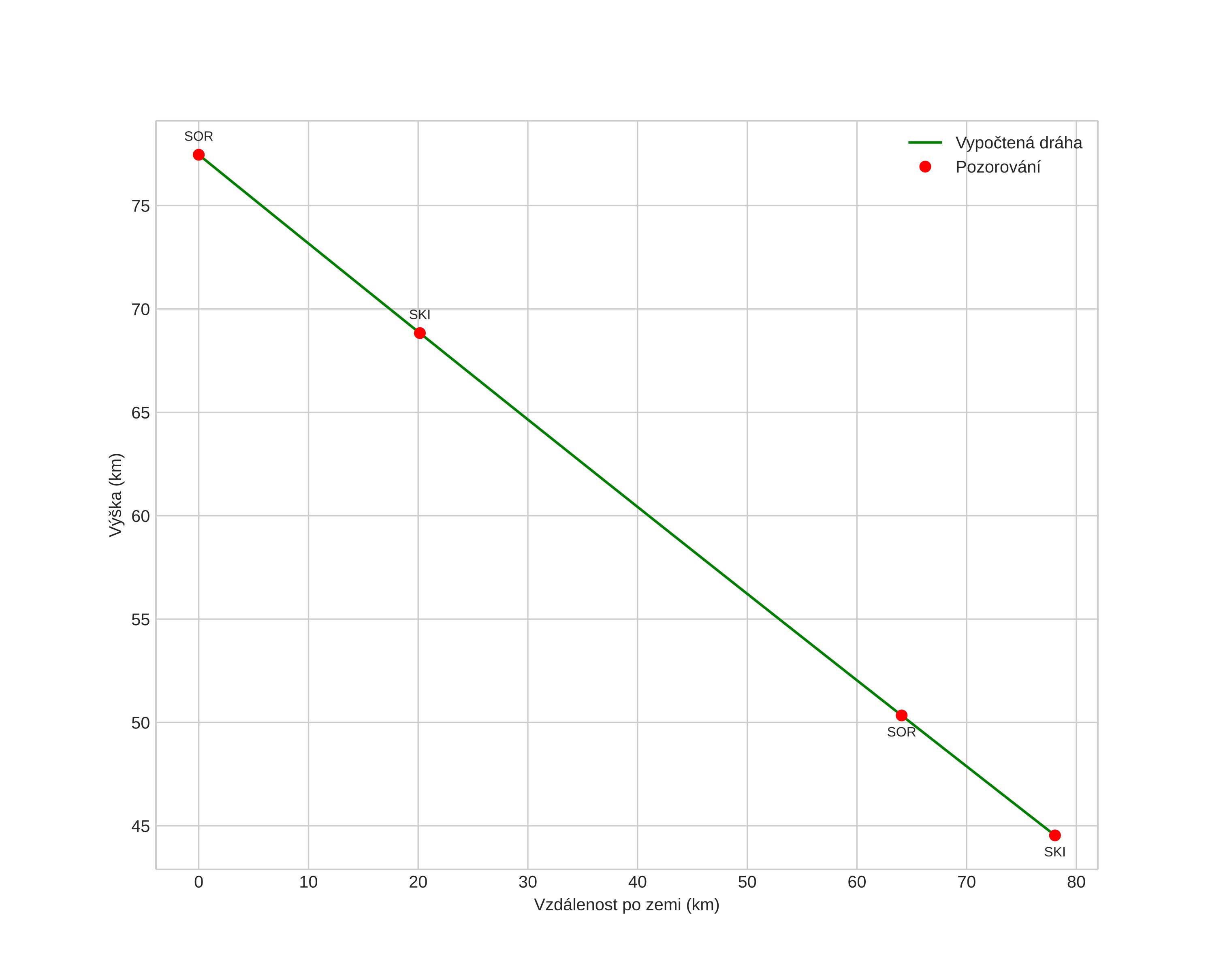
Atmosférická dráha meteoru:
Počáteční výška: 77,5 km
Konečná výška: 44,5 km
Počáteční poloha: 69,624N 17,410E
Konečná poloha: 69,434N 15,478E
Směr: 255,2°
Sklon: 22,9°
VstupnĂ­ rychlost: 12,2 km/s
Rektascenze radiantu: 03:46 (56,6°)
Deklinace radiantu: -3,4°
MeteorickĂ˝ roj: sporadickĂ˝
Elementy dráhy meteoroidu:
Vzdálenost v periheliu: 0,928 AU
Excentricita: 0,200
Sklon dráhy: 3,3°
Délka vzestupného uzlu: 75,4°
Argument perihelia: 49,0°
Střední anomálie: 326,6°
Epocha: 2021 DEC 07 14:22:56
orbit plot

NeinteraktivnĂ­ graf

position vs time
speed and acceleration