🇳🇴 🇬🇧 🇩🇪 🇨🇿 🇫🇮

Meteor Myren yllä 2021-12-07 14:22:56 UTC

KML-tiedosto

Kartta näyttää meteorin suuntahavainnot. Vaaleammat viivat näyttävät suunnat havaintoasemilta meteorin ilmestyessä, ja tummemmat viivat näyttävät, missä se viimeksi nähtiin. Sininen nuoli näyttää meteorin näkyvän lennon.

static map
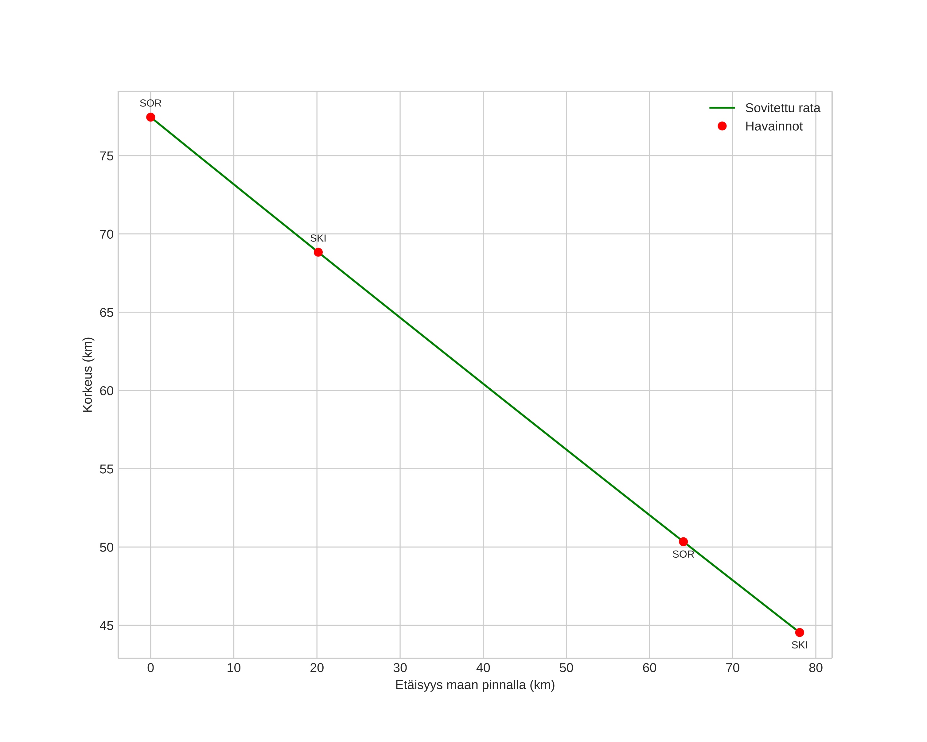
height profile
Meteorin ilmakehärata:
Alkukorkeus: 77,5 km
Loppukorkeus: 44,5 km
Alkupiste: 69,624N 17,410E
Loppupiste: 69,434N 15,478E
Suunta: 255,2°
Kallistuskulma: 22,9°
Tulonopeus: 12,2 km/s
Radiantin R,A,: 03:46 (56,6°)
Radiantin Dekl,: -3,4°
Meteoriparvi: Sporadinen
Meteoroidin rataelementit:
Perihelietäisyys: 0,928 AU
Eksentrisyys: 0,200
Inklinaatio: 3,3°
Nousevan solmun pituus: 75,4°
Perihelin argumentti: 49,0°
Keskianomalia: 326,6°
Epookki: 2021 DEC 07 14:22:56
orbit plot

Ei-interaktiivinen kuvaaja

position vs time
speed and acceleration