🇳🇴 🇬🇧 🇩🇪 🇨🇿 🇫🇮

Meteor, poloha: Tromsø 2021-12-07 23:32:04 UTC

Soubor KML  |  InteraktivnĂ­ mapa

Mapa zobrazuje dráhy meteoru. Světlejší čáry ukazují směry od pozorovacích stanic při objevení se meteoru a tmavší čáry, kde byl naposledy viděn. Modrá šipka značí viditelnou dráhu meteoru.

static map
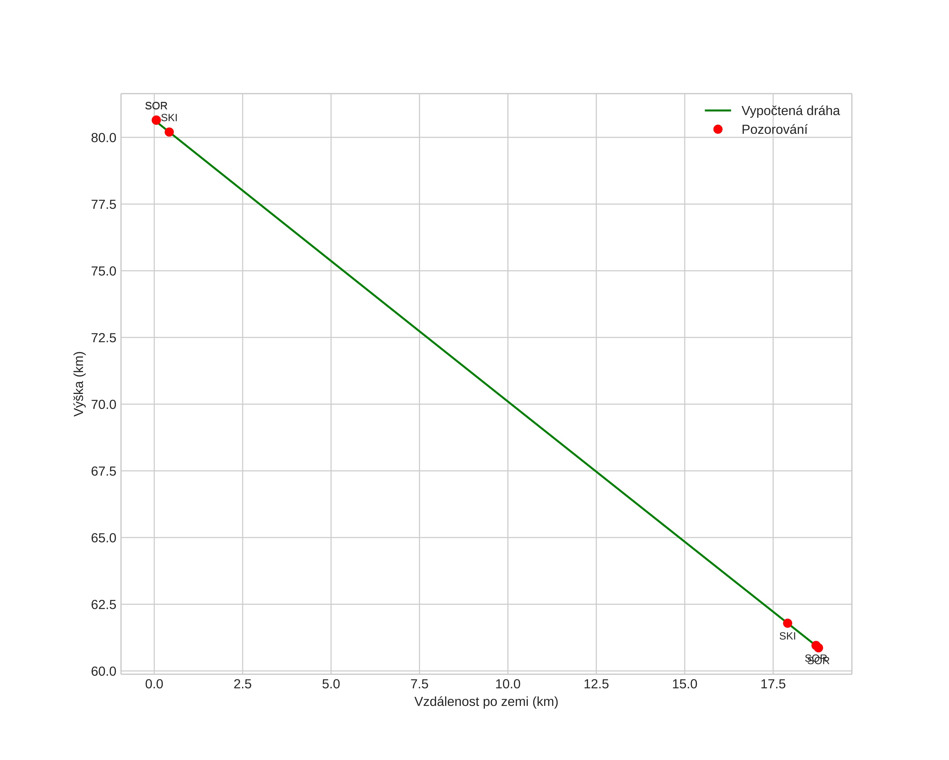
height profile
Atmosférická dráha meteoru:
Počáteční výška: 80,5 km
Konečná výška: 60,8 km
Počáteční poloha: 69,610N 18,904E
Konečná poloha: 69,775N 19,017E
Směr: 13,3°
Sklon: 46,4°
VstupnĂ­ rychlost: 25,7 km/s
Rektascenze radiantu: 05:10 (77,6°)
Deklinace radiantu: 23,9°
MeteorickĂ˝ roj: SevernĂ­ Tauridy
Elementy dráhy meteoroidu:
Vzdálenost v periheliu: 0,526 AU
Excentricita: 0,758
Sklon dráhy: 0,8°
Délka vzestupného uzlu: 255,6°
Argument perihelia: 274,9°
Střední anomálie: 346,2°
Epocha: 2021 DEC 07 23:32:04
orbit plot

NeinteraktivnĂ­ graf | InteraktivnĂ­ graf

position vs time
speed and acceleration