🇳🇴 🇬🇧 🇩🇪 🇨🇿 🇫🇮

Meteor über Tromsø 2021-12-07 23:32:04 UTC

KML-Datei  |  Interaktive Karte

Die Karte zeigt die Peilungen für den Meteor. Die helleren Linien zeigen die Richtungen von den Beobachtungsorten beim Erscheinen des Meteors, und die dunkleren Linien, wo er zuletzt gesehen wurde. Der blaue Pfeil zeigt die sichtbare Bahn des Meteors.

static map
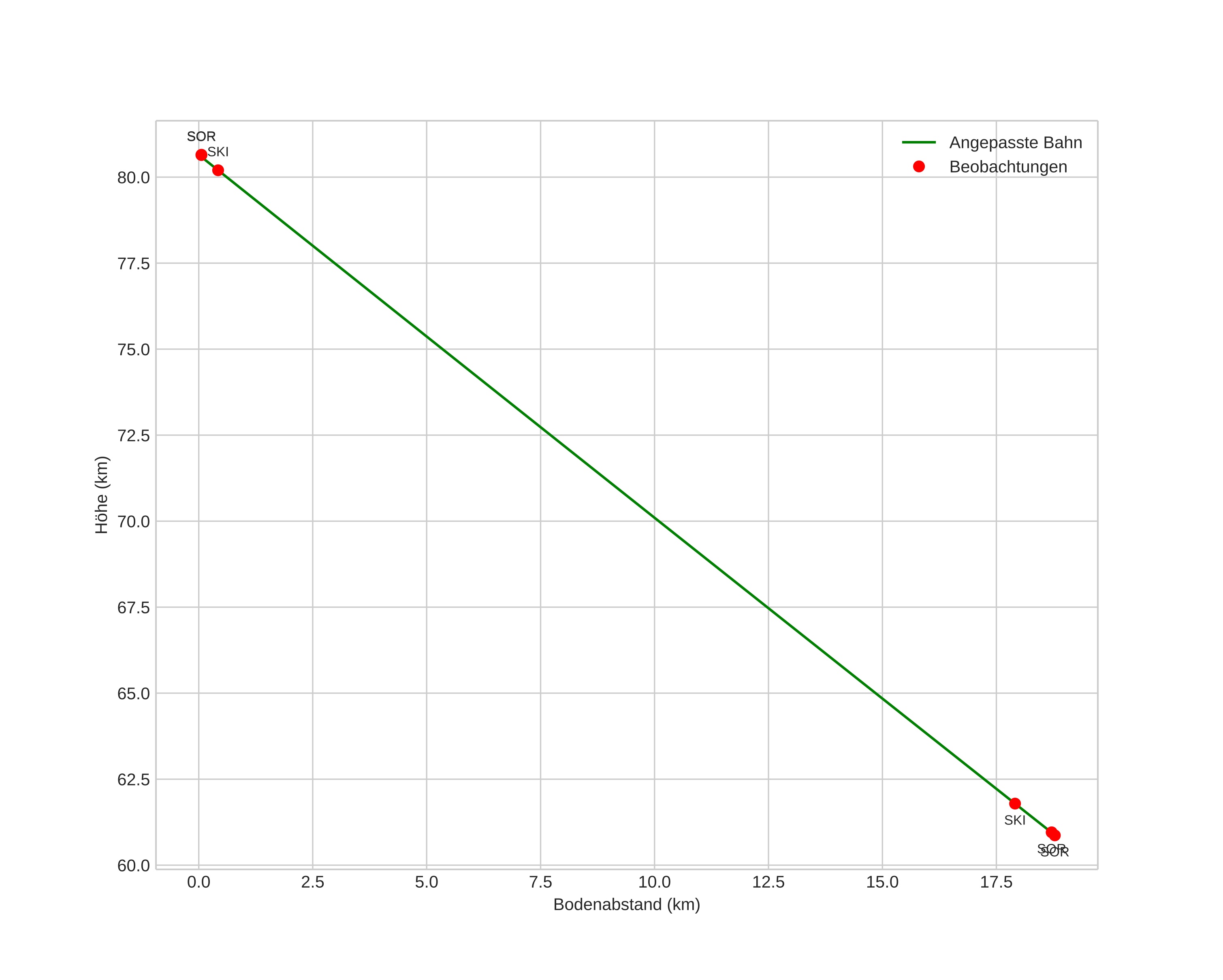
height profile
Atmosphärische Bahn des Meteors:
Anfangshöhe: 80,5 km
Endhöhe: 60,8 km
Startposition: 69,610N 18,904E
Endposition: 69,775N 19,017E
Richtung: 13,3°
Neigungswinkel: 46,4°
Eintrittsgeschwindigkeit: 25,7 km/s
Rektaszension des Radianten: 05:10 (77,6°)
Deklination des Radianten: 23,9°
Meteorstrom: Nördliche Tauriden
Bahnelemente des Meteoroiden:
Periheldistanz: 0,526 AU
Exzentrizität: 0,758
Inklination: 0,8°
Länge des aufsteigenden Knotens: 255,6°
Argument des Perihels: 274,9°
Mittlere Anomalie: 346,2°
Epoche: 2021 DEC 07 23:32:04
orbit plot

Nicht-interaktives Diagramm | Interaktives Diagramm

position vs time
speed and acceleration