🇳🇴 🇬🇧 🇩🇪 🇨🇿 🇫🇮

Meteor, poloha: Moen 2021-12-10 00:55:25 UTC

Soubor KML  |  InteraktivnĂ­ mapa

Mapa zobrazuje dráhy meteoru. Světlejší čáry ukazují směry od pozorovacích stanic při objevení se meteoru a tmavší čáry, kde byl naposledy viděn. Modrá šipka značí viditelnou dráhu meteoru.

static map
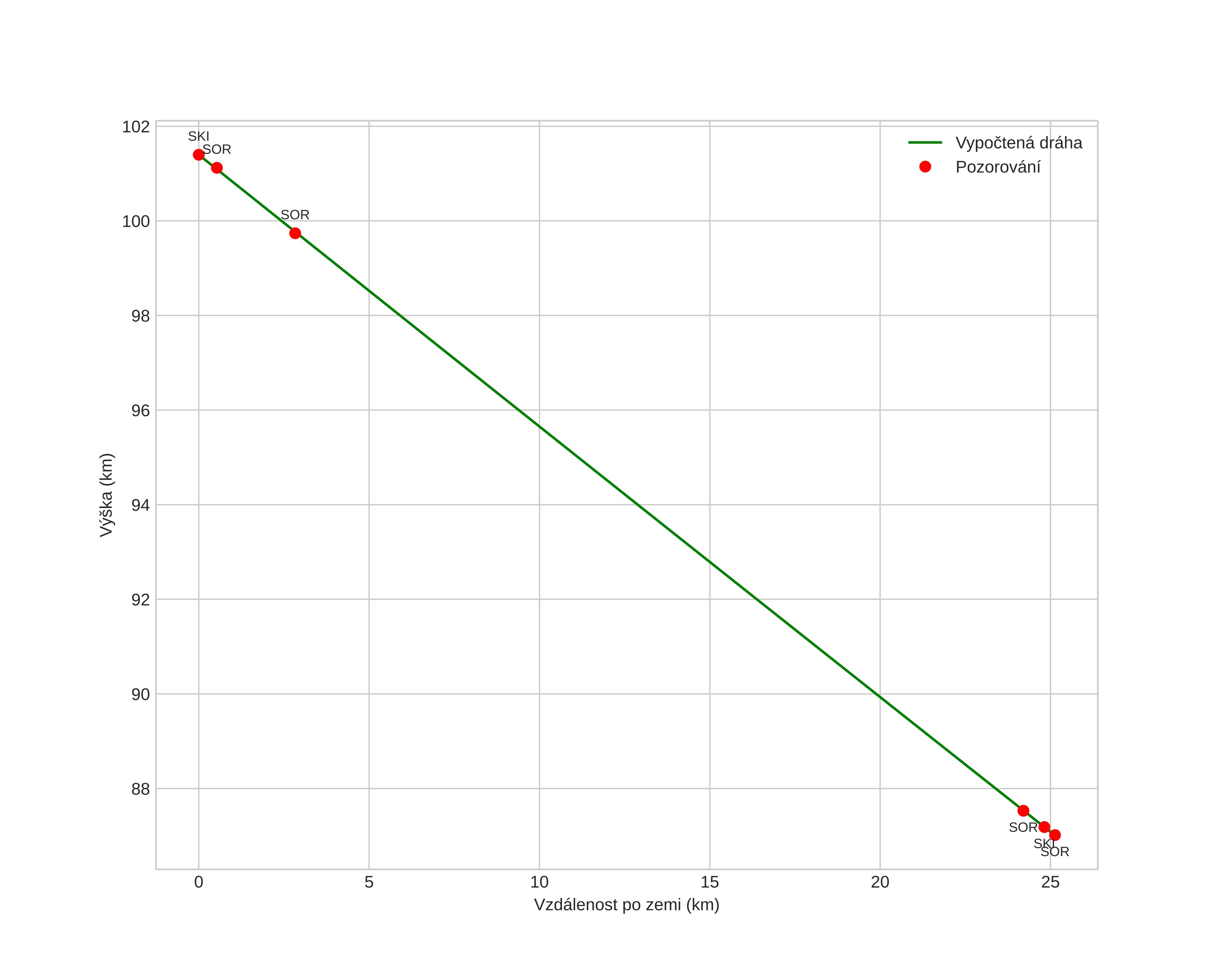
height profile
Atmosférická dráha meteoru:
Počáteční výška: 101,6 km
Konečná výška: 87,2 km
Počáteční poloha: 68,771N 18,787E
Konečná poloha: 68,990N 18,917E
Směr: 12,1°
Sklon: 30,0°
VstupnĂ­ rychlost: 46,4 km/s
Rektascenze radiantu: 06:41 (100,4°)
Deklinace radiantu: 8,2°
MeteorickĂ˝ roj: Monocerotidy
Elementy dráhy meteoroidu:
Vzdálenost v periheliu: 0,168 AU
Excentricita: 1,028
Sklon dráhy: 40,9°
Délka vzestupného uzlu: 77,9°
Argument perihelia: 129,5°
Střední anomálie: -2,1°
Epocha: 2021 DEC 10 00:55:25
orbit plot

NeinteraktivnĂ­ graf | InteraktivnĂ­ graf

position vs time
speed and acceleration