🇳🇴 🇬🇧 🇩🇪 🇨🇿 🇫🇮

Meteor Moenin yllä 2021-12-10 00:55:25 UTC

KML-tiedosto  |  Interaktiivinen kartta

Kartta näyttää meteorin suuntahavainnot. Vaaleammat viivat näyttävät suunnat havaintoasemilta meteorin ilmestyessä, ja tummemmat viivat näyttävät, missä se viimeksi nähtiin. Sininen nuoli näyttää meteorin näkyvän lennon.

static map
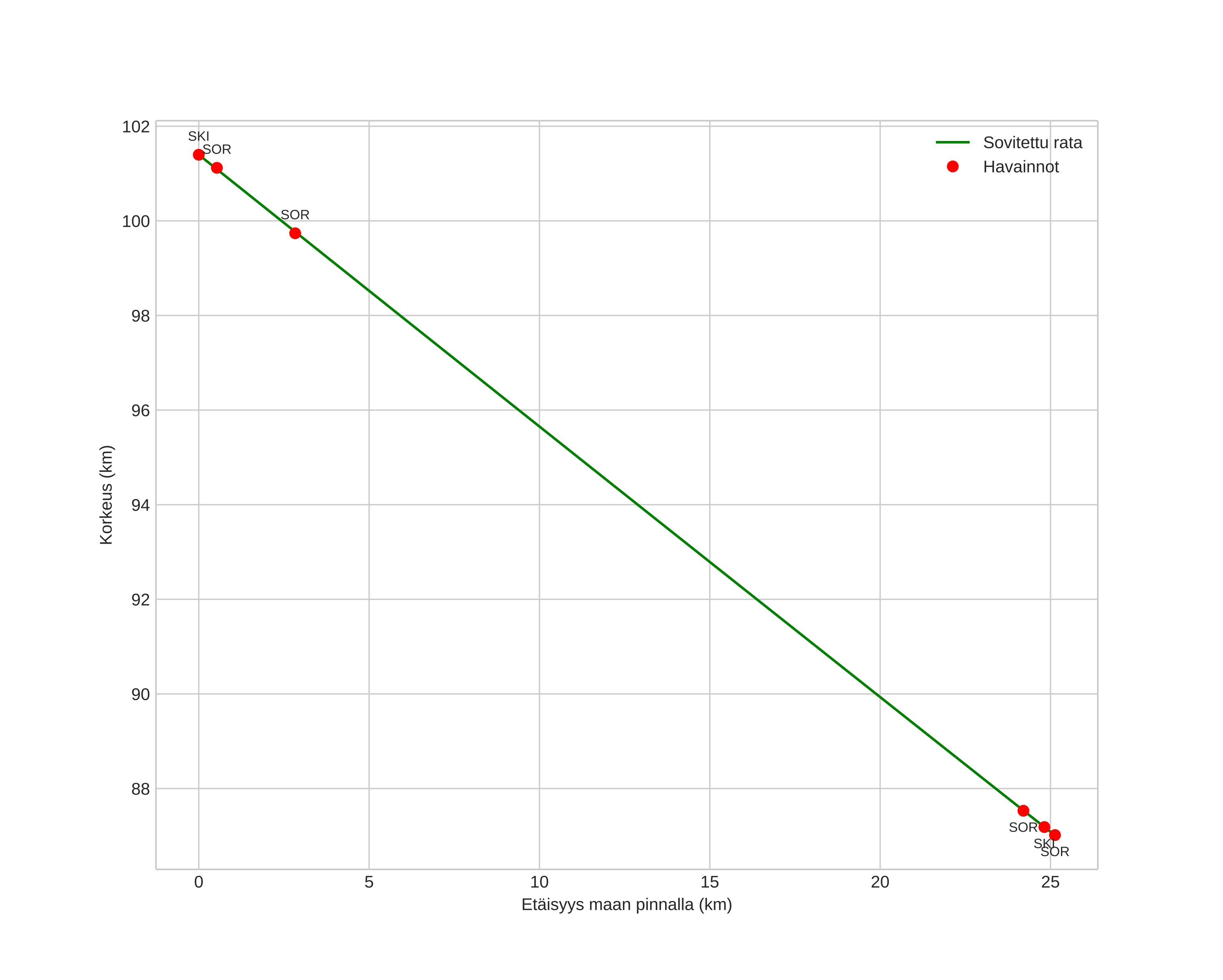
height profile
Meteorin ilmakehärata:
Alkukorkeus: 101,6 km
Loppukorkeus: 87,2 km
Alkupiste: 68,771N 18,787E
Loppupiste: 68,990N 18,917E
Suunta: 12,1°
Kallistuskulma: 30,0°
Tulonopeus: 46,4 km/s
Radiantin R,A,: 06:41 (100,4°)
Radiantin Dekl,: 8,2°
Meteoriparvi: Monoserotidit
Meteoroidin rataelementit:
Perihelietäisyys: 0,168 AU
Eksentrisyys: 1,028
Inklinaatio: 40,9°
Nousevan solmun pituus: 77,9°
Perihelin argumentti: 129,5°
Keskianomalia: -2,1°
Epookki: 2021 DEC 10 00:55:25
orbit plot

Ei-interaktiivinen kuvaaja | Interaktiivinen kuvaaja

position vs time
speed and acceleration