🇳🇴 🇬🇧 🇩🇪 🇨🇿 🇫🇮

Meteor, poloha: Gällivare 2021-12-10 02:36:33 UTC

Soubor KML  |  InteraktivnĂ­ mapa

Mapa zobrazuje dráhy meteoru. Světlejší čáry ukazují směry od pozorovacích stanic při objevení se meteoru a tmavší čáry, kde byl naposledy viděn. Modrá šipka značí viditelnou dráhu meteoru.

static map
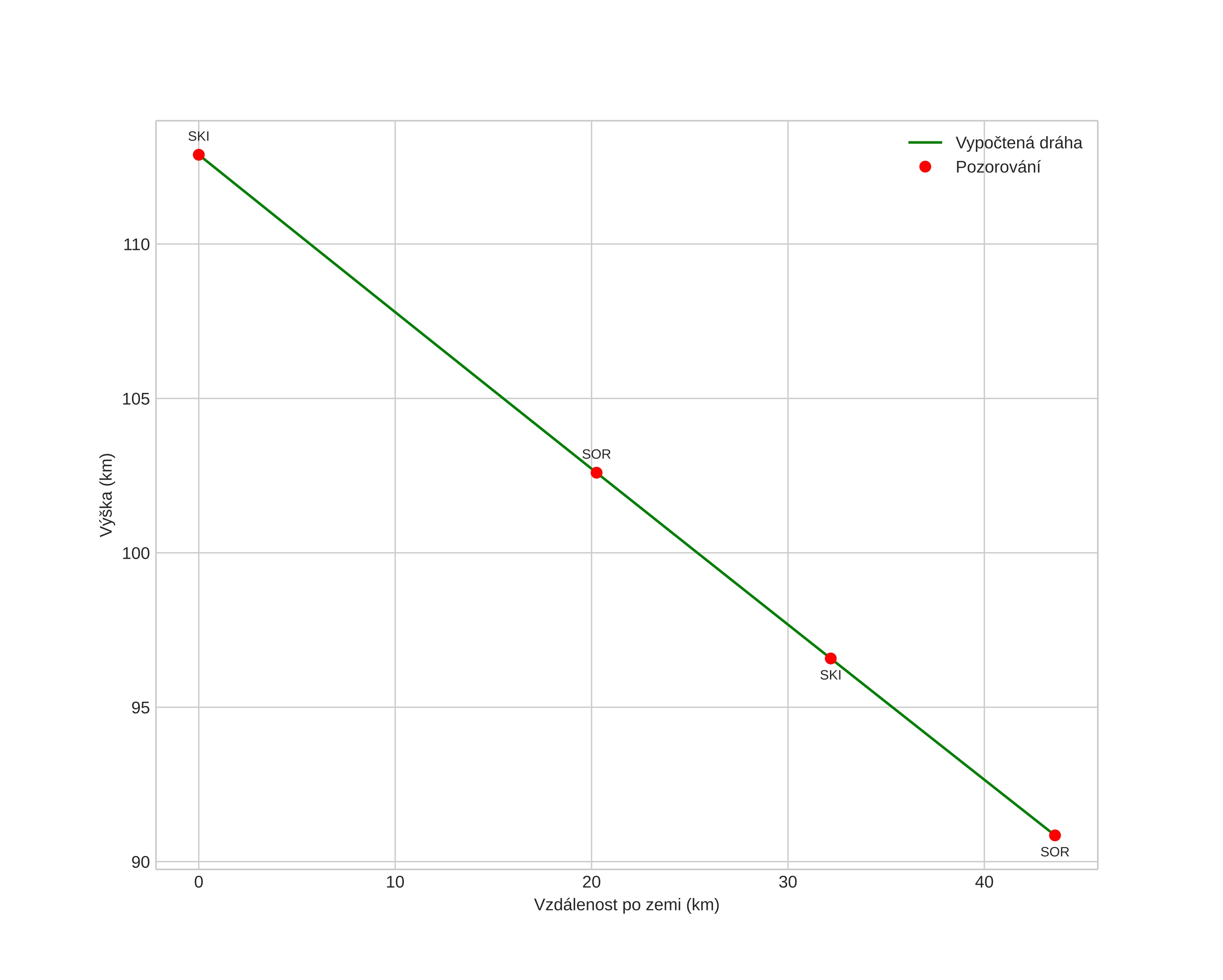
height profile
Atmosférická dráha meteoru:
Počáteční výška: 124,1 km
Konečná výška: 99,1 km
Počáteční poloha: 66,760N 19,331E
Konečná poloha: 67,083N 20,181E
Směr: 45,5°
Sklon: 25,8°
VstupnĂ­ rychlost: 44,5 km/s
Rektascenze radiantu: 06:24 (96,1°)
Deklinace radiantu: 7,6°
MeteorickĂ˝ roj: Monocerotidy
Elementy dráhy meteoroidu:
Vzdálenost v periheliu: 0,229 AU
Excentricita: 1,053
Sklon dráhy: 34,3°
Délka vzestupného uzlu: 78,0°
Argument perihelia: 119,8°
Střední anomálie: -3,6°
Epocha: 2021 DEC 10 02:36:33
orbit plot

NeinteraktivnĂ­ graf | InteraktivnĂ­ graf

position vs time
speed and acceleration