🇳🇴 🇬🇧 🇩🇪 🇨🇿 🇫🇮

Meteor Gällivaren yllä 2021-12-10 02:36:33 UTC

KML-tiedosto  |  Interaktiivinen kartta

Kartta näyttää meteorin suuntahavainnot. Vaaleammat viivat näyttävät suunnat havaintoasemilta meteorin ilmestyessä, ja tummemmat viivat näyttävät, missä se viimeksi nähtiin. Sininen nuoli näyttää meteorin näkyvän lennon.

static map
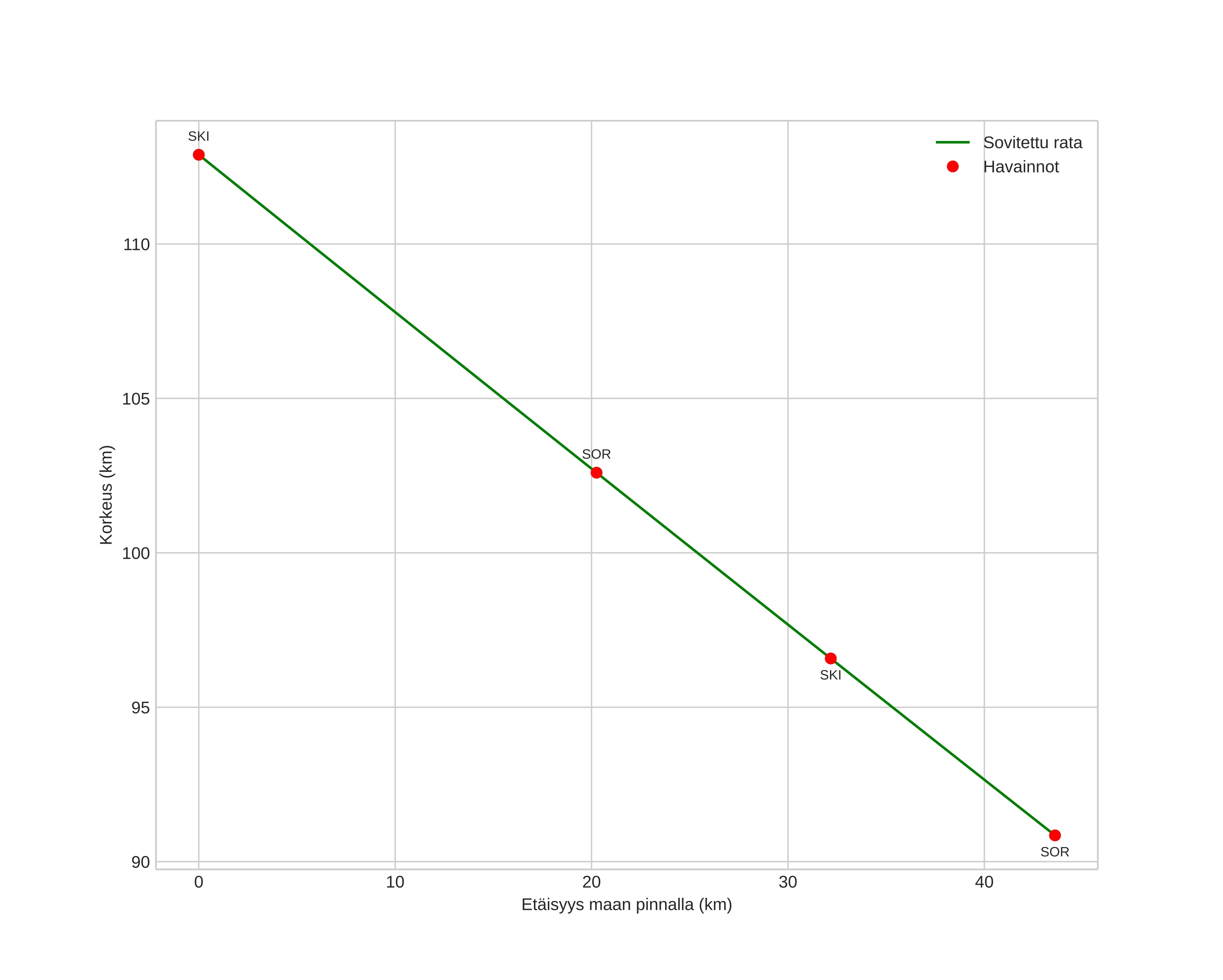
height profile
Meteorin ilmakehärata:
Alkukorkeus: 124,1 km
Loppukorkeus: 99,1 km
Alkupiste: 66,760N 19,331E
Loppupiste: 67,083N 20,181E
Suunta: 45,5°
Kallistuskulma: 25,8°
Tulonopeus: 44,5 km/s
Radiantin R,A,: 06:24 (96,1°)
Radiantin Dekl,: 7,6°
Meteoriparvi: Monoserotidit
Meteoroidin rataelementit:
Perihelietäisyys: 0,229 AU
Eksentrisyys: 1,053
Inklinaatio: 34,3°
Nousevan solmun pituus: 78,0°
Perihelin argumentti: 119,8°
Keskianomalia: -3,6°
Epookki: 2021 DEC 10 02:36:33
orbit plot

Ei-interaktiivinen kuvaaja | Interaktiivinen kuvaaja

position vs time
speed and acceleration