🇳🇴 🇬🇧 🇩🇪 🇨🇿 🇫🇮

Meteor, poloha: Storsteinnes 2021-12-11 06:49:16 UTC

Soubor KML  |  InteraktivnĂ­ mapa

Mapa zobrazuje dráhy meteoru. Světlejší čáry ukazují směry od pozorovacích stanic při objevení se meteoru a tmavší čáry, kde byl naposledy viděn. Modrá šipka značí viditelnou dráhu meteoru.

static map
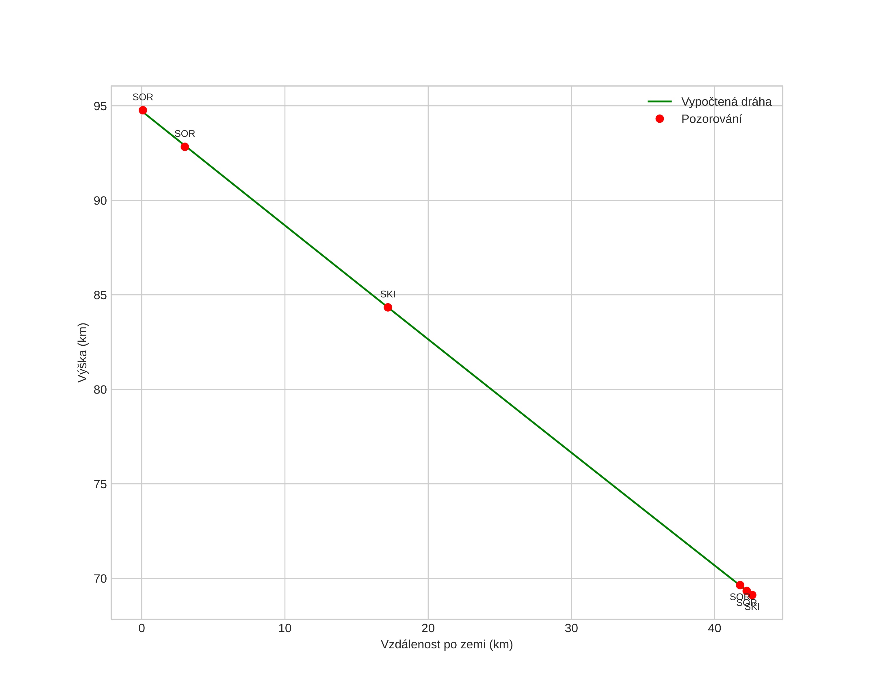
height profile
Atmosférická dráha meteoru:
Počáteční výška: 97,5 km
Konečná výška: 70,0 km
Počáteční poloha: 69,631N 18,233E
Konečná poloha: 69,546N 19,313E
Směr: 102,1°
Sklon: 32,7°
VstupnĂ­ rychlost: 35,1 km/s
Rektascenze radiantu: 07:24 (111,1°)
Deklinace radiantu: 32,9°
MeteorickĂ˝ roj: Geminidy
Elementy dráhy meteoroidu:
Vzdálenost v periheliu: 0,143 AU
Excentricita: 0,885
Sklon dráhy: 23,6°
Délka vzestupného uzlu: 259,1°
Argument perihelia: 325,1°
Střední anomálie: 333,0°
Epocha: 2021 DEC 11 06:49:16
orbit plot

NeinteraktivnĂ­ graf | InteraktivnĂ­ graf

position vs time
speed and acceleration