🇳🇴 🇬🇧 🇩🇪 🇨🇿 🇫🇮

Meteor Storsteinnesin yllä 2021-12-11 06:49:16 UTC

KML-tiedosto  |  Interaktiivinen kartta

Kartta näyttää meteorin suuntahavainnot. Vaaleammat viivat näyttävät suunnat havaintoasemilta meteorin ilmestyessä, ja tummemmat viivat näyttävät, missä se viimeksi nähtiin. Sininen nuoli näyttää meteorin näkyvän lennon.

static map
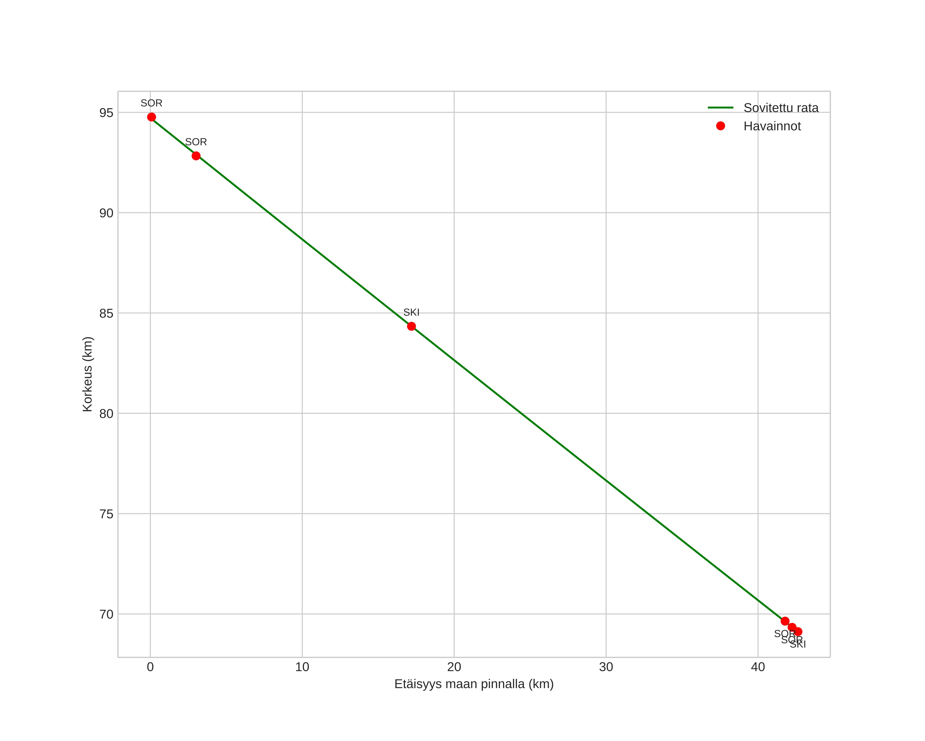
height profile
Meteorin ilmakehärata:
Alkukorkeus: 97,5 km
Loppukorkeus: 70,0 km
Alkupiste: 69,631N 18,233E
Loppupiste: 69,546N 19,313E
Suunta: 102,1°
Kallistuskulma: 32,7°
Tulonopeus: 35,1 km/s
Radiantin R,A,: 07:24 (111,1°)
Radiantin Dekl,: 32,9°
Meteoriparvi: Geminidit
Meteoroidin rataelementit:
Perihelietäisyys: 0,143 AU
Eksentrisyys: 0,885
Inklinaatio: 23,6°
Nousevan solmun pituus: 259,1°
Perihelin argumentti: 325,1°
Keskianomalia: 333,0°
Epookki: 2021 DEC 11 06:49:16
orbit plot

Ei-interaktiivinen kuvaaja | Interaktiivinen kuvaaja

position vs time
speed and acceleration