🇳🇴 🇬🇧 🇩🇪 🇨🇿 🇫🇮

Meteor, poloha: Hansnes 2021-12-13 21:58:01 UTC

Soubor KML  |  InteraktivnĂ­ mapa

Mapa zobrazuje dráhy meteoru. Světlejší čáry ukazují směry od pozorovacích stanic při objevení se meteoru a tmavší čáry, kde byl naposledy viděn. Modrá šipka značí viditelnou dráhu meteoru.

static map
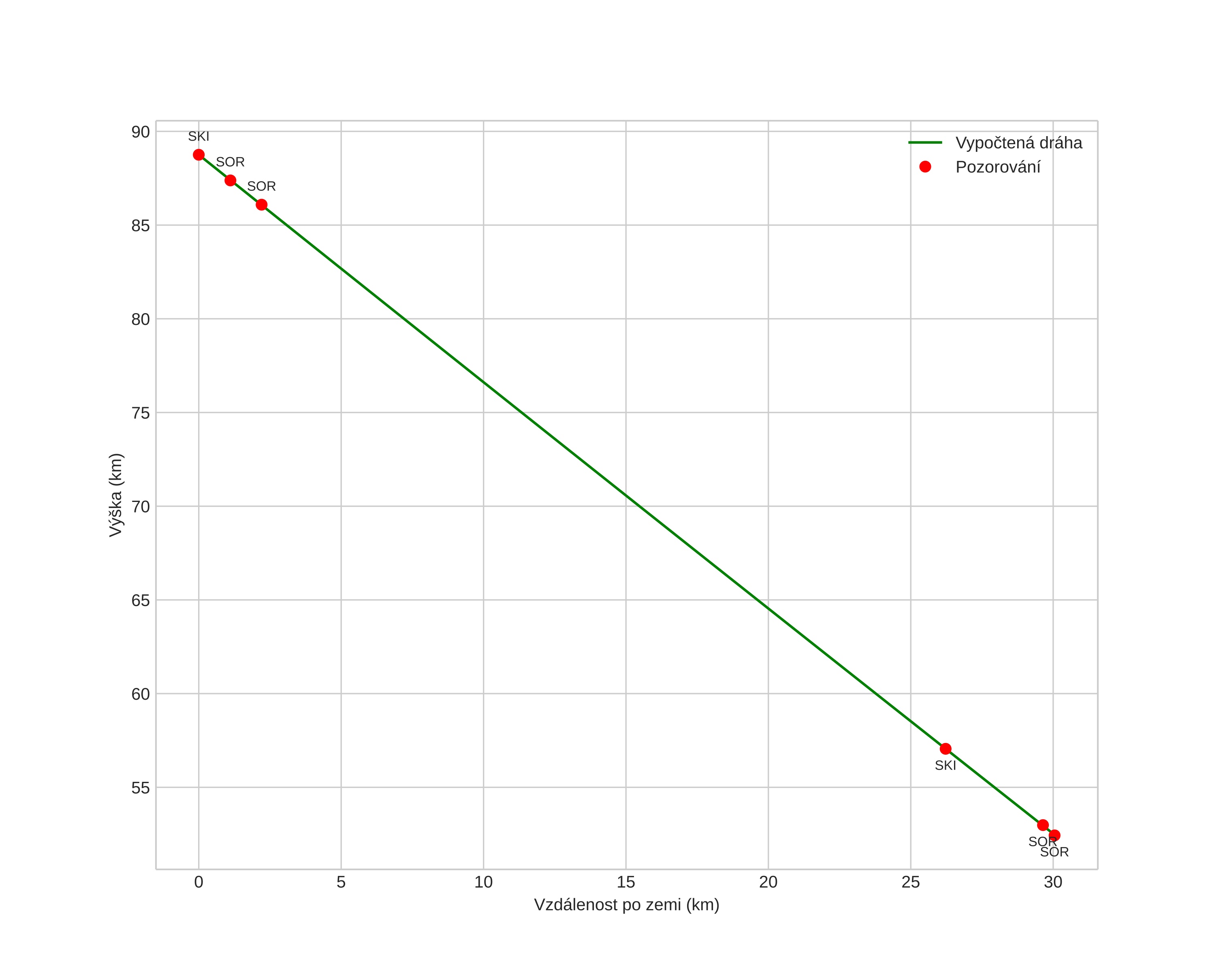
height profile
Atmosférická dráha meteoru:
Počáteční výška: 88,4 km
Konečná výška: 52,6 km
Počáteční poloha: 69,675N 20,248E
Konečná poloha: 69,928N 19,996E
Směr: 341,2°
Sklon: 50,3°
VstupnĂ­ rychlost: 26,7 km/s
Rektascenze radiantu: 05:43 (85,9°)
Deklinace radiantu: 28,8°
MeteorickĂ˝ roj: sporadickĂ˝
Elementy dráhy meteoroidu:
Vzdálenost v periheliu: 0,498 AU
Excentricita: 0,773
Sklon dráhy: 4,6°
Délka vzestupného uzlu: 261,8°
Argument perihelia: 277,8°
Střední anomálie: 346,5°
Epocha: 2021 DEC 13 21:58:01
orbit plot

NeinteraktivnĂ­ graf | InteraktivnĂ­ graf

position vs time
speed and acceleration