🇳🇴 🇬🇧 🇩🇪 🇨🇿 🇫🇮

Meteor Hansnesin yllä 2021-12-13 21:58:01 UTC

KML-tiedosto  |  Interaktiivinen kartta

Kartta näyttää meteorin suuntahavainnot. Vaaleammat viivat näyttävät suunnat havaintoasemilta meteorin ilmestyessä, ja tummemmat viivat näyttävät, missä se viimeksi nähtiin. Sininen nuoli näyttää meteorin näkyvän lennon.

static map
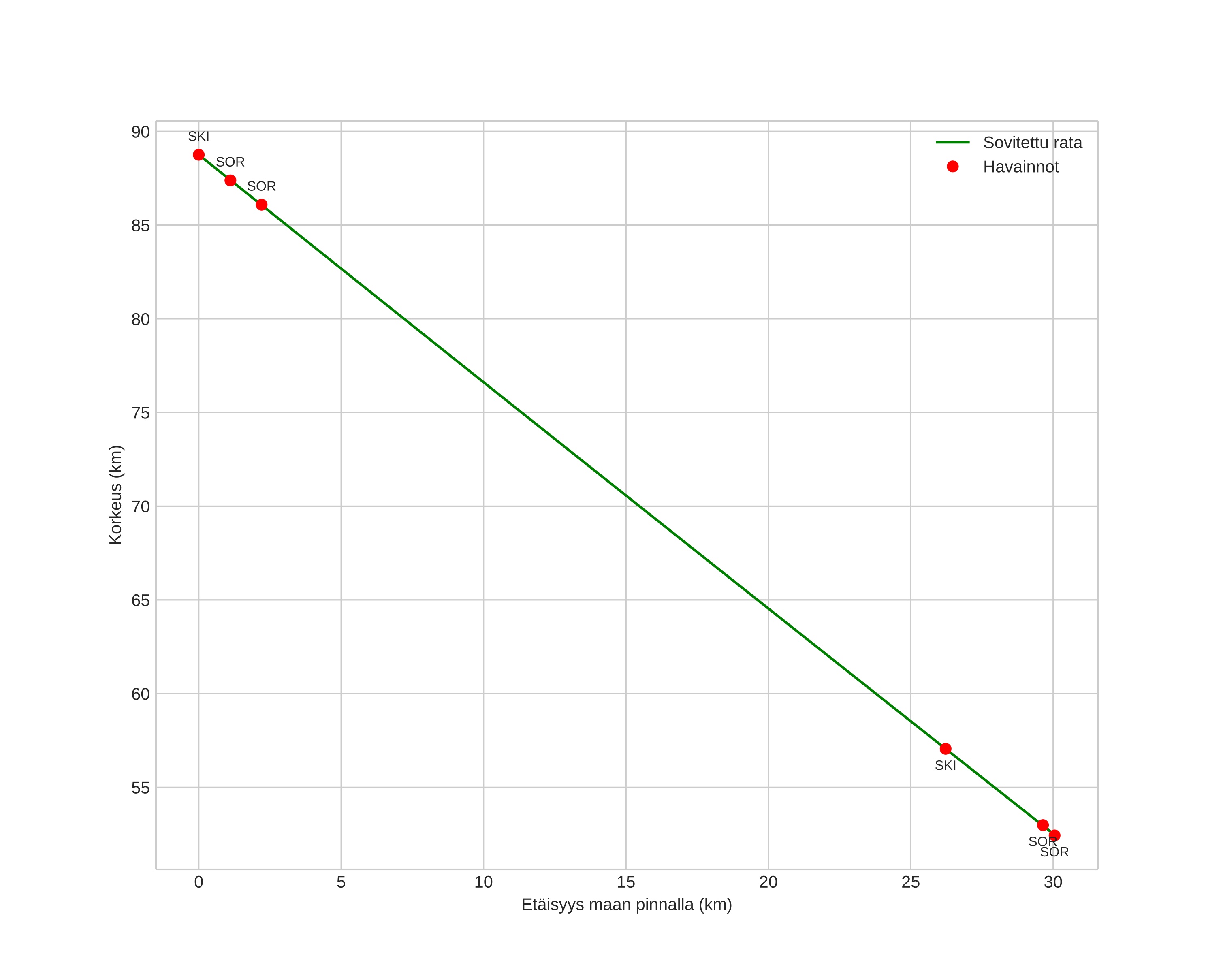
height profile
Meteorin ilmakehärata:
Alkukorkeus: 88,4 km
Loppukorkeus: 52,6 km
Alkupiste: 69,675N 20,248E
Loppupiste: 69,928N 19,996E
Suunta: 341,2°
Kallistuskulma: 50,3°
Tulonopeus: 26,7 km/s
Radiantin R,A,: 05:43 (85,9°)
Radiantin Dekl,: 28,8°
Meteoriparvi: Sporadinen
Meteoroidin rataelementit:
Perihelietäisyys: 0,498 AU
Eksentrisyys: 0,773
Inklinaatio: 4,6°
Nousevan solmun pituus: 261,8°
Perihelin argumentti: 277,8°
Keskianomalia: 346,5°
Epookki: 2021 DEC 13 21:58:01
orbit plot

Ei-interaktiivinen kuvaaja | Interaktiivinen kuvaaja

position vs time
speed and acceleration