🇳🇴 🇬🇧 🇩🇪 🇨🇿 🇫🇮

Meteor, poloha: Hatteng 2021-12-13 21:58:44 UTC

Soubor KML  |  InteraktivnĂ­ mapa

Mapa zobrazuje dráhy meteoru. Světlejší čáry ukazují směry od pozorovacích stanic při objevení se meteoru a tmavší čáry, kde byl naposledy viděn. Modrá šipka značí viditelnou dráhu meteoru.

static map
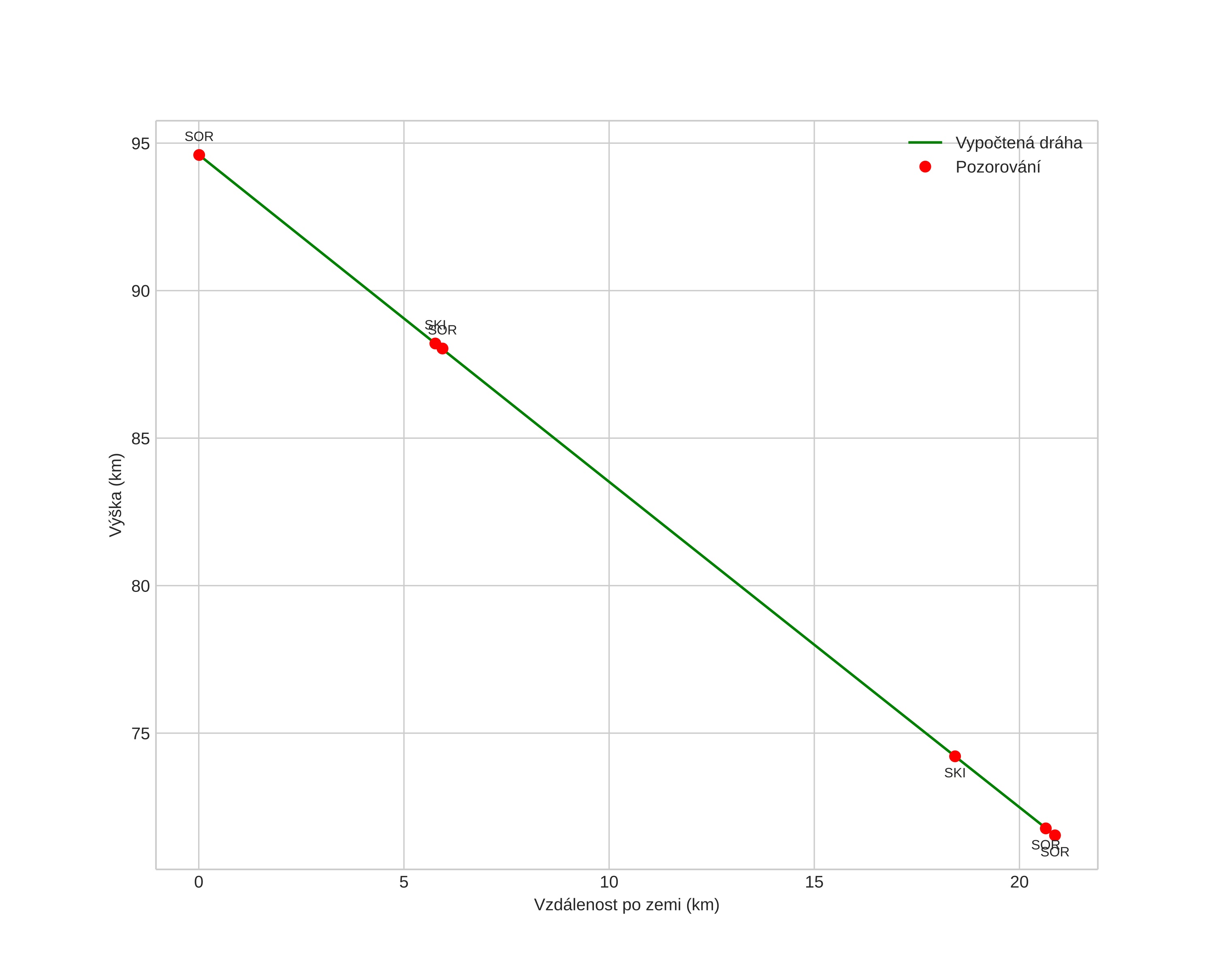
height profile
Atmosférická dráha meteoru:
Počáteční výška: 94,7 km
Konečná výška: 71,6 km
Počáteční poloha: 69,406N 20,028E
Konečná poloha: 69,515N 19,588E
Směr: 305,5°
Sklon: 47,7°
VstupnĂ­ rychlost: 36,5 km/s
Rektascenze radiantu: 07:33 (113,5°)
Deklinace radiantu: 32,8°
MeteorickĂ˝ roj: Geminidy
Elementy dráhy meteoroidu:
Vzdálenost v periheliu: 0,141 AU
Excentricita: 0,898
Sklon dráhy: 24,9°
Délka vzestupného uzlu: 261,8°
Argument perihelia: 324,2°
Střední anomálie: 337,4°
Epocha: 2021 DEC 13 21:58:44
orbit plot

NeinteraktivnĂ­ graf | InteraktivnĂ­ graf

position vs time
speed and acceleration