🇳🇴 🇬🇧 🇩🇪 🇨🇿 🇫🇮

Meteor Hattengin yllä 2021-12-13 21:58:44 UTC

KML-tiedosto  |  Interaktiivinen kartta

Kartta näyttää meteorin suuntahavainnot. Vaaleammat viivat näyttävät suunnat havaintoasemilta meteorin ilmestyessä, ja tummemmat viivat näyttävät, missä se viimeksi nähtiin. Sininen nuoli näyttää meteorin näkyvän lennon.

static map
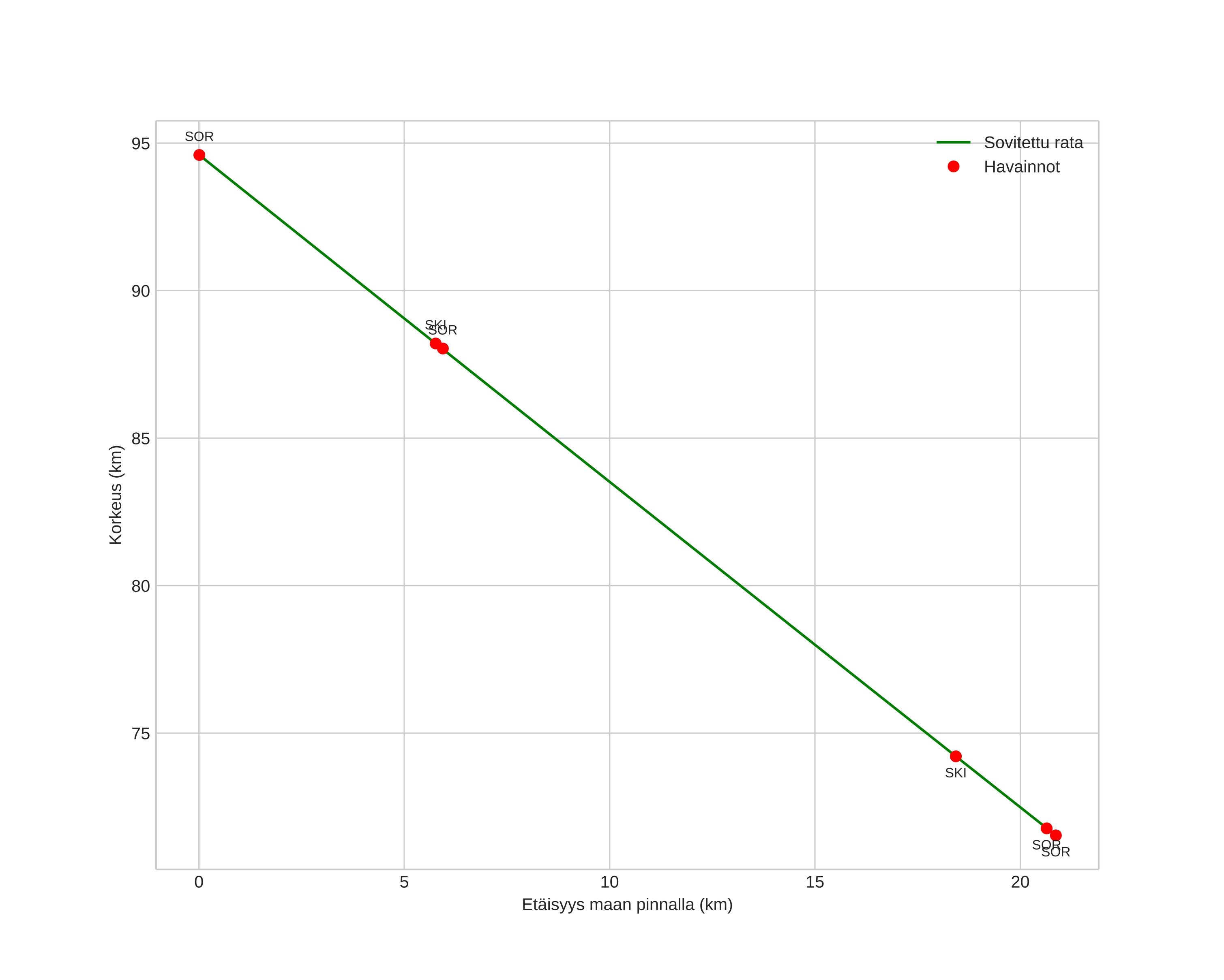
height profile
Meteorin ilmakehärata:
Alkukorkeus: 94,7 km
Loppukorkeus: 71,6 km
Alkupiste: 69,406N 20,028E
Loppupiste: 69,515N 19,588E
Suunta: 305,5°
Kallistuskulma: 47,7°
Tulonopeus: 36,5 km/s
Radiantin R,A,: 07:33 (113,5°)
Radiantin Dekl,: 32,8°
Meteoriparvi: Geminidit
Meteoroidin rataelementit:
Perihelietäisyys: 0,141 AU
Eksentrisyys: 0,898
Inklinaatio: 24,9°
Nousevan solmun pituus: 261,8°
Perihelin argumentti: 324,2°
Keskianomalia: 337,4°
Epookki: 2021 DEC 13 21:58:44
orbit plot

Ei-interaktiivinen kuvaaja | Interaktiivinen kuvaaja

position vs time
speed and acceleration