🇳🇴 🇬🇧 🇩🇪 🇨🇿 🇫🇮

Meteor, poloha: Rakkestad 2021-12-14 03:05:39 UTC

Soubor KML  |  InteraktivnĂ­ mapa

Mapa zobrazuje dráhy meteoru. Světlejší čáry ukazují směry od pozorovacích stanic při objevení se meteoru a tmavší čáry, kde byl naposledy viděn. Modrá šipka značí viditelnou dráhu meteoru.

static map
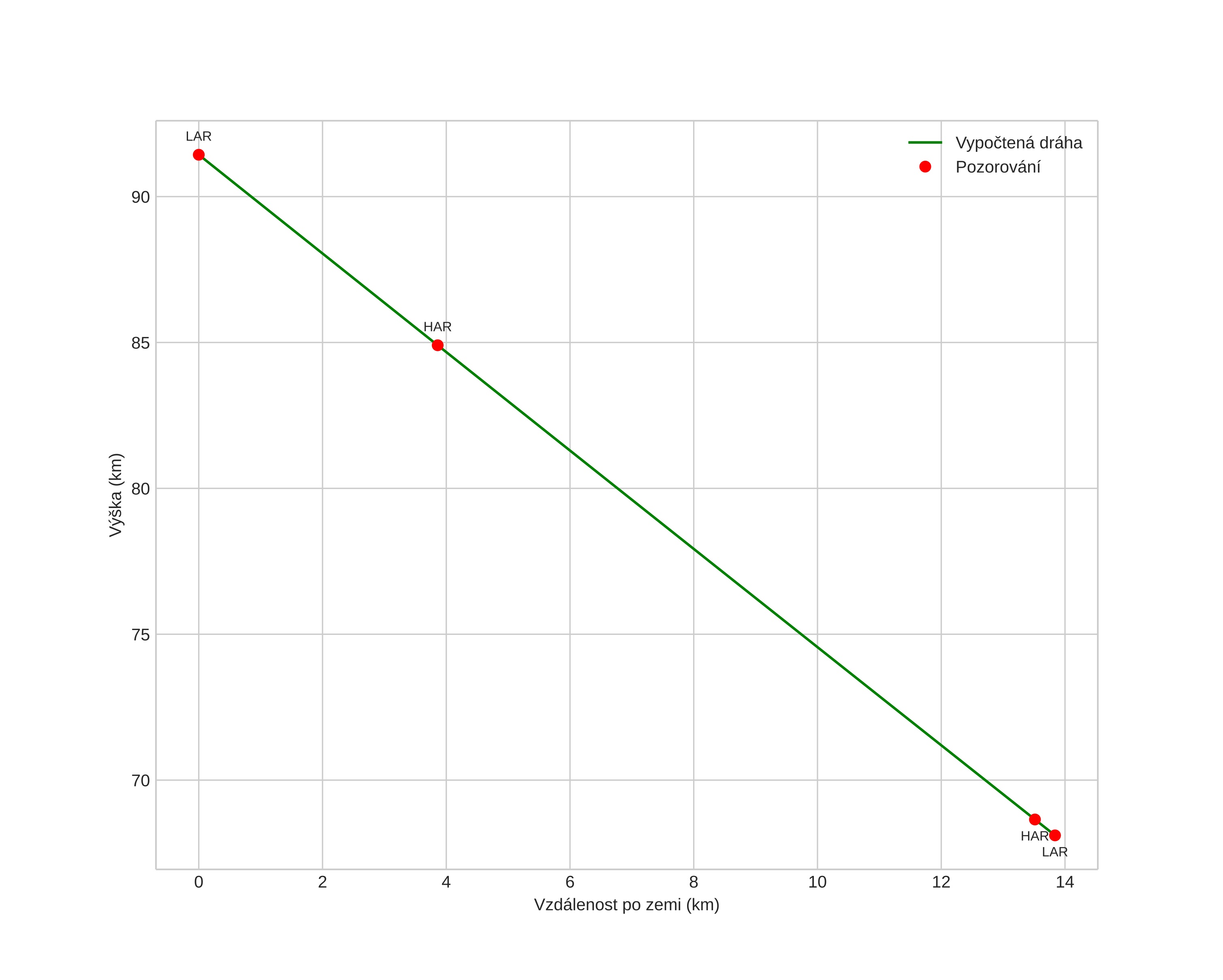
height profile
Atmosférická dráha meteoru:
Počáteční výška: 92,3 km
Konečná výška: 68,9 km
Počáteční poloha: 59,330N 11,319E
Konečná poloha: 59,421N 11,491E
Směr: 43,9°
Sklon: 59,0°
VstupnĂ­ rychlost: 35,1 km/s
Rektascenze radiantu: 07:37 (114,3°)
Deklinace radiantu: 32,3°
MeteorickĂ˝ roj: Geminidy
Elementy dráhy meteoroidu:
Vzdálenost v periheliu: 0,144 AU
Excentricita: 0,884
Sklon dráhy: 23,0°
Délka vzestupného uzlu: 262,0°
Argument perihelia: 325,1°
Střední anomálie: 332,8°
Epocha: 2021 DEC 14 03:05:39
orbit plot

NeinteraktivnĂ­ graf | InteraktivnĂ­ graf

position vs time
speed and acceleration