🇳🇴 🇬🇧 🇩🇪 🇨🇿 🇫🇮

Meteor Rakkestadin yllä 2021-12-14 03:05:39 UTC

KML-tiedosto  |  Interaktiivinen kartta

Kartta näyttää meteorin suuntahavainnot. Vaaleammat viivat näyttävät suunnat havaintoasemilta meteorin ilmestyessä, ja tummemmat viivat näyttävät, missä se viimeksi nähtiin. Sininen nuoli näyttää meteorin näkyvän lennon.

static map
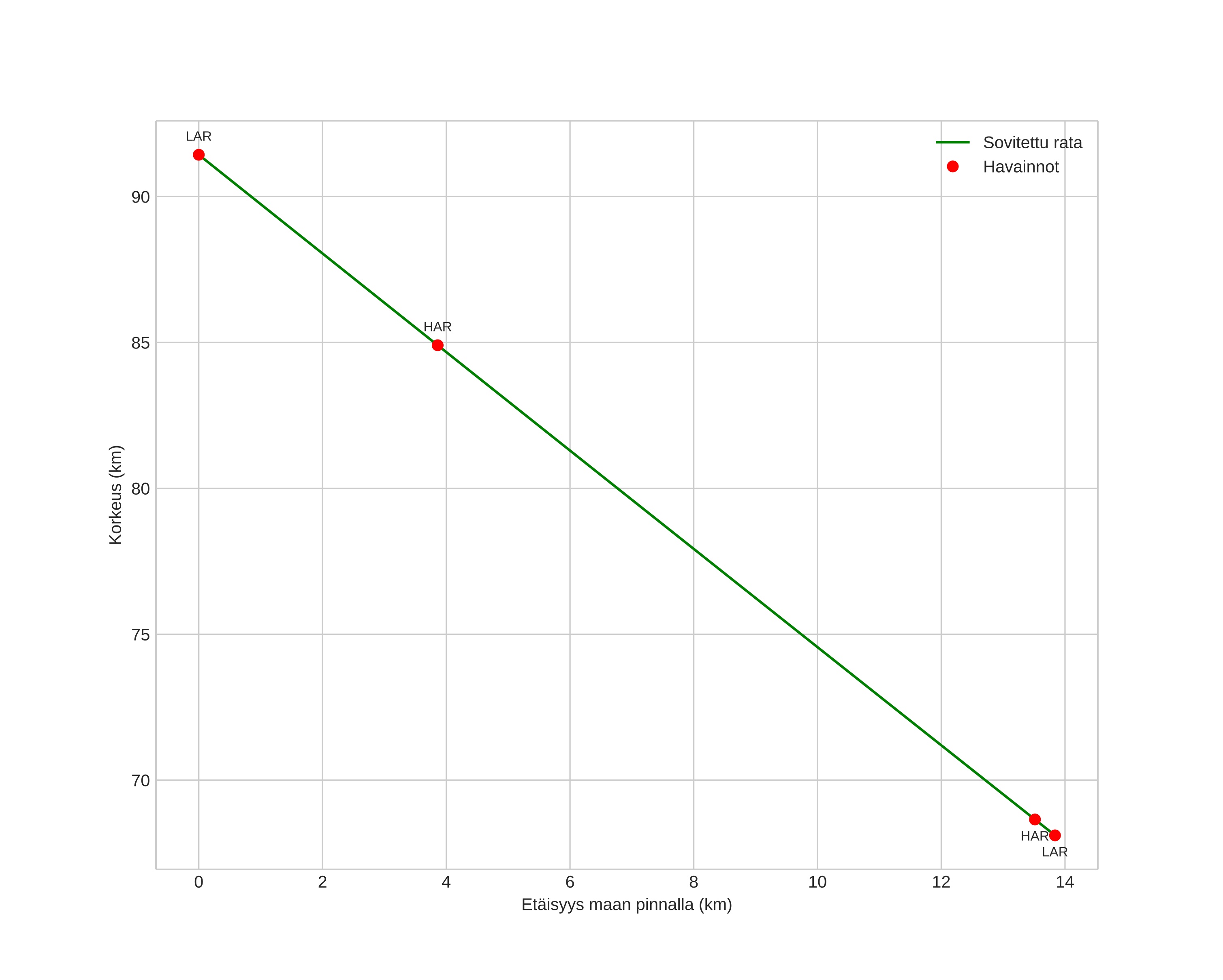
height profile
Meteorin ilmakehärata:
Alkukorkeus: 92,3 km
Loppukorkeus: 68,9 km
Alkupiste: 59,330N 11,319E
Loppupiste: 59,421N 11,491E
Suunta: 43,9°
Kallistuskulma: 59,0°
Tulonopeus: 35,1 km/s
Radiantin R,A,: 07:37 (114,3°)
Radiantin Dekl,: 32,3°
Meteoriparvi: Geminidit
Meteoroidin rataelementit:
Perihelietäisyys: 0,144 AU
Eksentrisyys: 0,884
Inklinaatio: 23,0°
Nousevan solmun pituus: 262,0°
Perihelin argumentti: 325,1°
Keskianomalia: 332,8°
Epookki: 2021 DEC 14 03:05:39
orbit plot

Ei-interaktiivinen kuvaaja | Interaktiivinen kuvaaja

position vs time
speed and acceleration