🇳🇴 🇬🇧 🇩🇪 🇨🇿 🇫🇮

Meteor, poloha: Torsby 2021-12-14 03:19:29 UTC

Soubor KML  |  InteraktivnĂ­ mapa

Mapa zobrazuje dráhy meteoru. Světlejší čáry ukazují směry od pozorovacích stanic při objevení se meteoru a tmavší čáry, kde byl naposledy viděn. Modrá šipka značí viditelnou dráhu meteoru.

static map
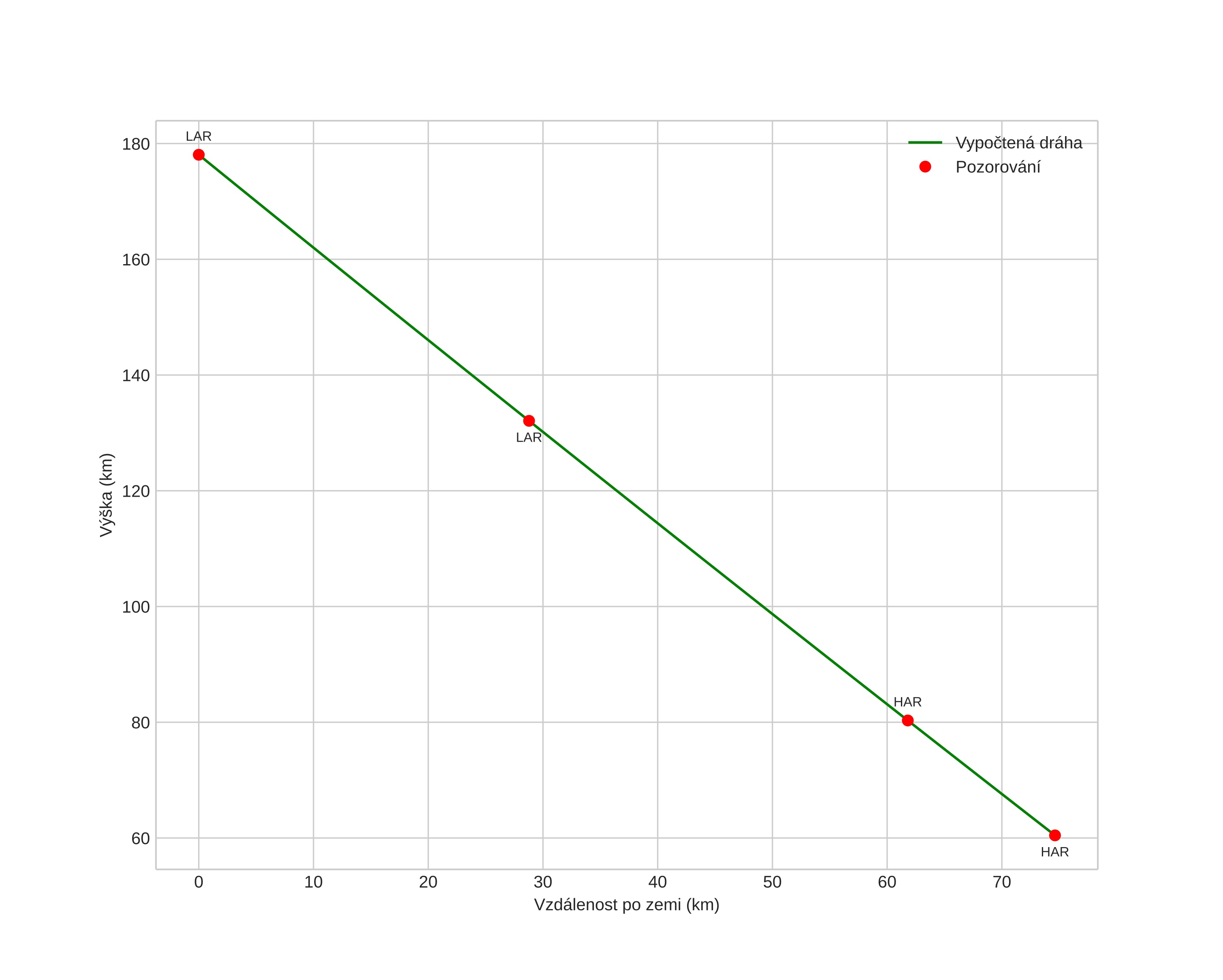
height profile
Atmosférická dráha meteoru:
Počáteční výška: 180,1 km
Konečná výška: 60,3 km
Počáteční poloha: 59,722N 12,143E
Konečná poloha: 60,135N 13,100E
Směr: 48,9°
Sklon: 59,6°
VstupnĂ­ rychlost: 72,3 km/s
Rektascenze radiantu: 07:46 (116,5°)
Deklinace radiantu: 35,0°
MeteorickĂ˝ roj: sporadickĂ˝
Elementy dráhy meteoroidu:
Vzdálenost v periheliu: 0,141 AU
Excentricita: 1,340
Sklon dráhy: 105,4°
Délka vzestupného uzlu: 262,0°
Argument perihelia: 299,8°
Střední anomálie: -87,5°
Epocha: 2021 DEC 14 03:19:29
orbit plot

NeinteraktivnĂ­ graf | InteraktivnĂ­ graf

position vs time
speed and acceleration