🇳🇴 🇬🇧 🇩🇪 🇨🇿 🇫🇮

Meteor Torsbyn yllä 2021-12-14 03:19:29 UTC

KML-tiedosto  |  Interaktiivinen kartta

Kartta näyttää meteorin suuntahavainnot. Vaaleammat viivat näyttävät suunnat havaintoasemilta meteorin ilmestyessä, ja tummemmat viivat näyttävät, missä se viimeksi nähtiin. Sininen nuoli näyttää meteorin näkyvän lennon.

static map
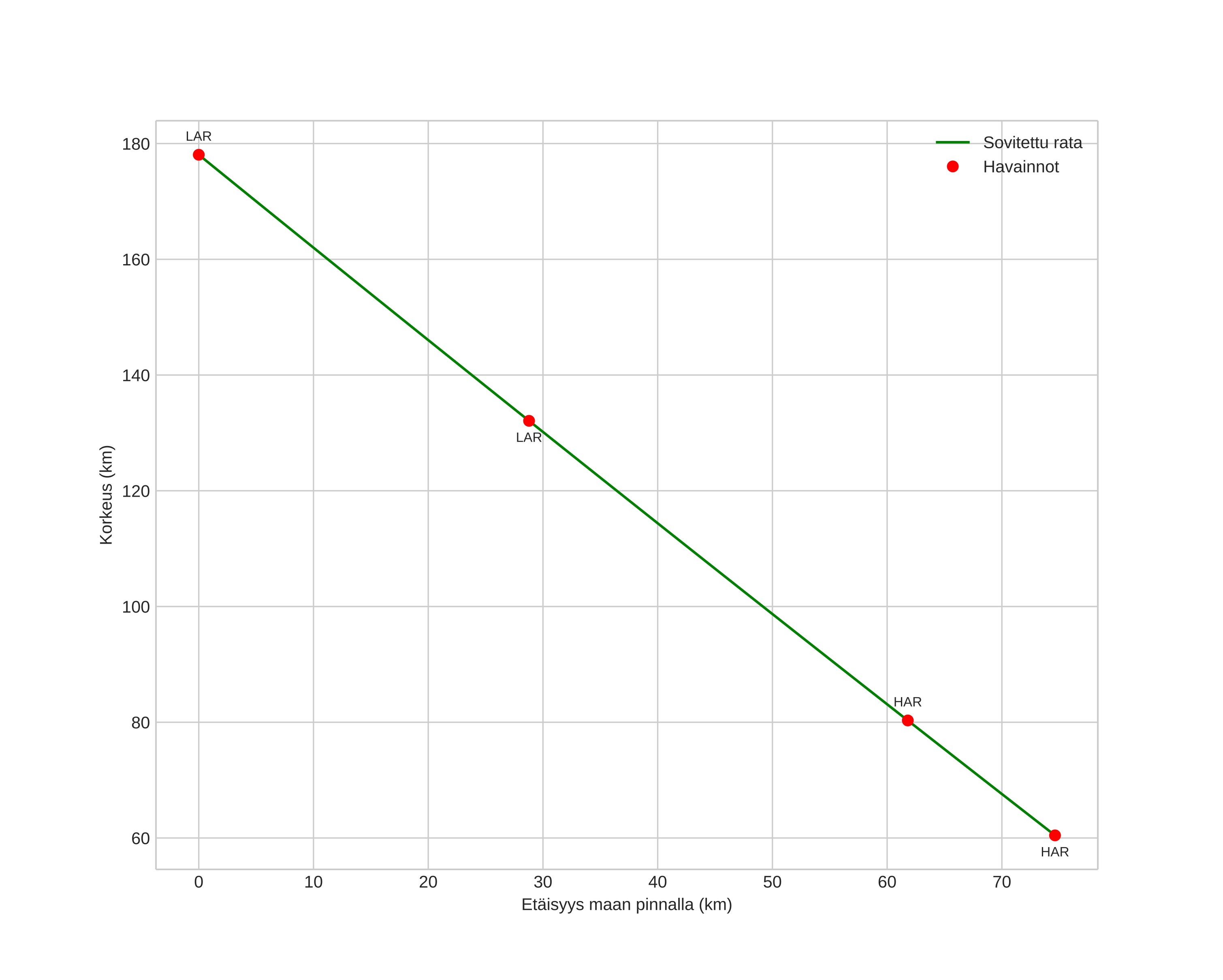
height profile
Meteorin ilmakehärata:
Alkukorkeus: 180,1 km
Loppukorkeus: 60,3 km
Alkupiste: 59,722N 12,143E
Loppupiste: 60,135N 13,100E
Suunta: 48,9°
Kallistuskulma: 59,6°
Tulonopeus: 72,3 km/s
Radiantin R,A,: 07:46 (116,5°)
Radiantin Dekl,: 35,0°
Meteoriparvi: Sporadinen
Meteoroidin rataelementit:
Perihelietäisyys: 0,141 AU
Eksentrisyys: 1,340
Inklinaatio: 105,4°
Nousevan solmun pituus: 262,0°
Perihelin argumentti: 299,8°
Keskianomalia: -87,5°
Epookki: 2021 DEC 14 03:19:29
orbit plot

Ei-interaktiivinen kuvaaja | Interaktiivinen kuvaaja

position vs time
speed and acceleration