🇳🇴 🇬🇧 🇩🇪 🇨🇿 🇫🇮

Meteor, poloha: Skjønhaug 2021-12-14 04:17:03 UTC

Soubor KML  |  InteraktivnĂ­ mapa

Mapa zobrazuje dráhy meteoru. Světlejší čáry ukazují směry od pozorovacích stanic při objevení se meteoru a tmavší čáry, kde byl naposledy viděn. Modrá šipka značí viditelnou dráhu meteoru.

static map
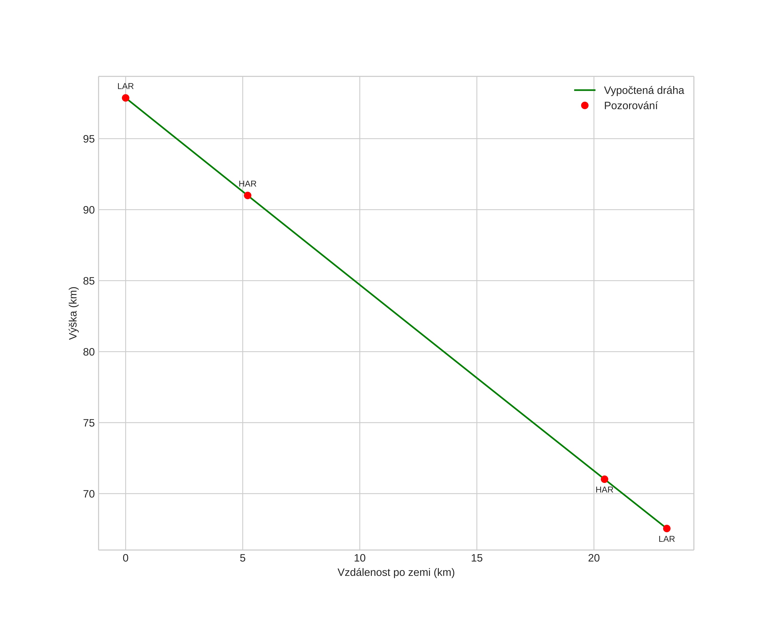
height profile
Atmosférická dráha meteoru:
Počáteční výška: 97,4 km
Konečná výška: 68,1 km
Počáteční poloha: 59,530N 11,047E
Konečná poloha: 59,613N 11,427E
Směr: 66,5°
Sklon: 51,5°
VstupnĂ­ rychlost: 36,3 km/s
Rektascenze radiantu: 07:36 (114,0°)
Deklinace radiantu: 32,2°
MeteorickĂ˝ roj: Geminidy
Elementy dráhy meteoroidu:
Vzdálenost v periheliu: 0,136 AU
Excentricita: 0,900
Sklon dráhy: 24,3°
Délka vzestupného uzlu: 262,1°
Argument perihelia: 325,1°
Střední anomálie: 336,9°
Epocha: 2021 DEC 14 04:17:03
orbit plot

NeinteraktivnĂ­ graf | InteraktivnĂ­ graf

position vs time
speed and acceleration