🇳🇴 🇬🇧 🇩🇪 🇨🇿 🇫🇮

Meteor Skjønhaugin yllä 2021-12-14 04:17:03 UTC

KML-tiedosto  |  Interaktiivinen kartta

Kartta näyttää meteorin suuntahavainnot. Vaaleammat viivat näyttävät suunnat havaintoasemilta meteorin ilmestyessä, ja tummemmat viivat näyttävät, missä se viimeksi nähtiin. Sininen nuoli näyttää meteorin näkyvän lennon.

static map
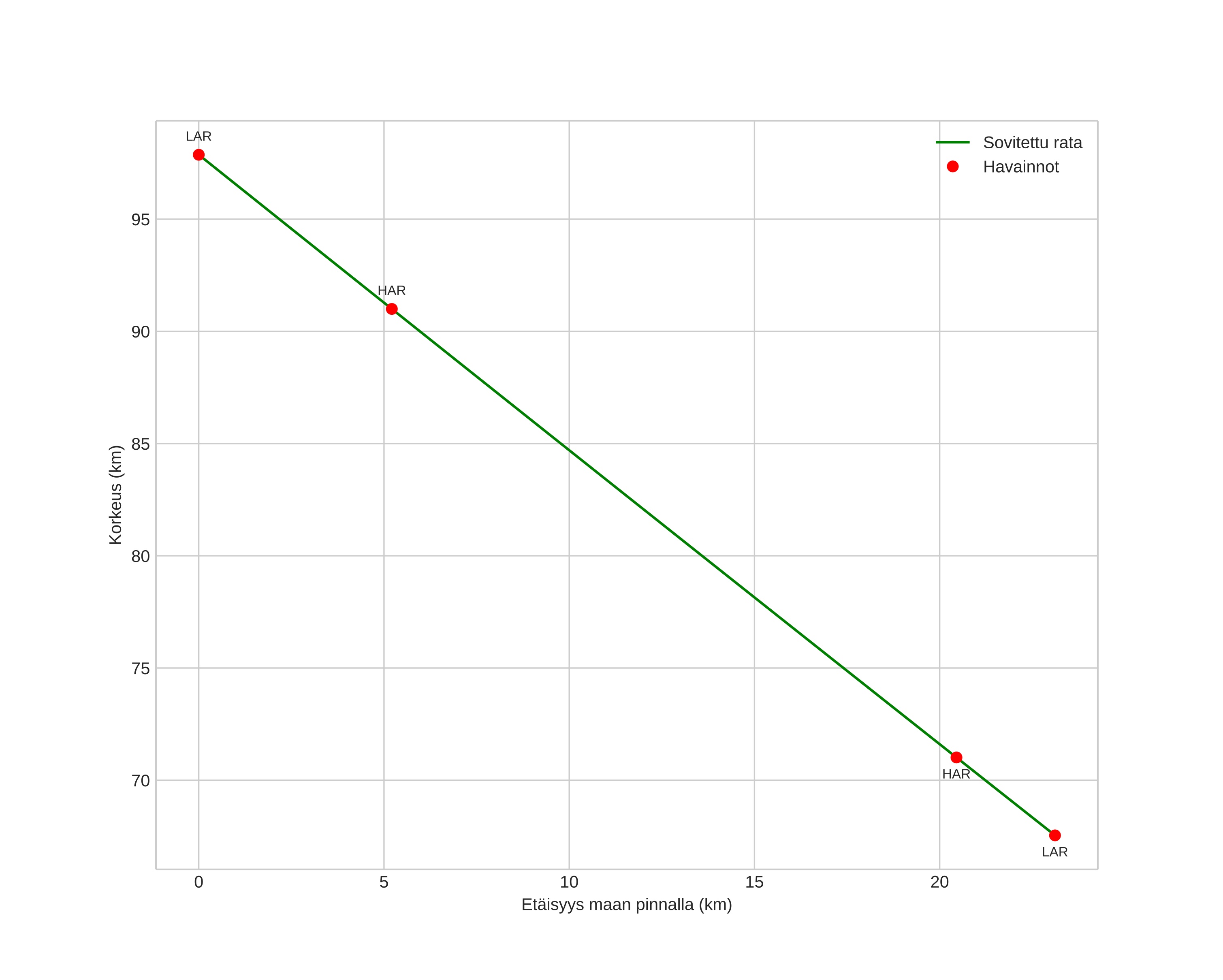
height profile
Meteorin ilmakehärata:
Alkukorkeus: 97,4 km
Loppukorkeus: 68,1 km
Alkupiste: 59,530N 11,047E
Loppupiste: 59,613N 11,427E
Suunta: 66,5°
Kallistuskulma: 51,5°
Tulonopeus: 36,3 km/s
Radiantin R,A,: 07:36 (114,0°)
Radiantin Dekl,: 32,2°
Meteoriparvi: Geminidit
Meteoroidin rataelementit:
Perihelietäisyys: 0,136 AU
Eksentrisyys: 0,900
Inklinaatio: 24,3°
Nousevan solmun pituus: 262,1°
Perihelin argumentti: 325,1°
Keskianomalia: 336,9°
Epookki: 2021 DEC 14 04:17:03
orbit plot

Ei-interaktiivinen kuvaaja | Interaktiivinen kuvaaja

position vs time
speed and acceleration