🇳🇴 🇬🇧 🇩🇪 🇨🇿 🇫🇮

Meteor, poloha: Sandefjord 2021-12-14 05:00:58 UTC

Soubor KML  |  InteraktivnĂ­ mapa

Mapa zobrazuje dráhy meteoru. Světlejší čáry ukazují směry od pozorovacích stanic při objevení se meteoru a tmavší čáry, kde byl naposledy viděn. Modrá šipka značí viditelnou dráhu meteoru.

static map
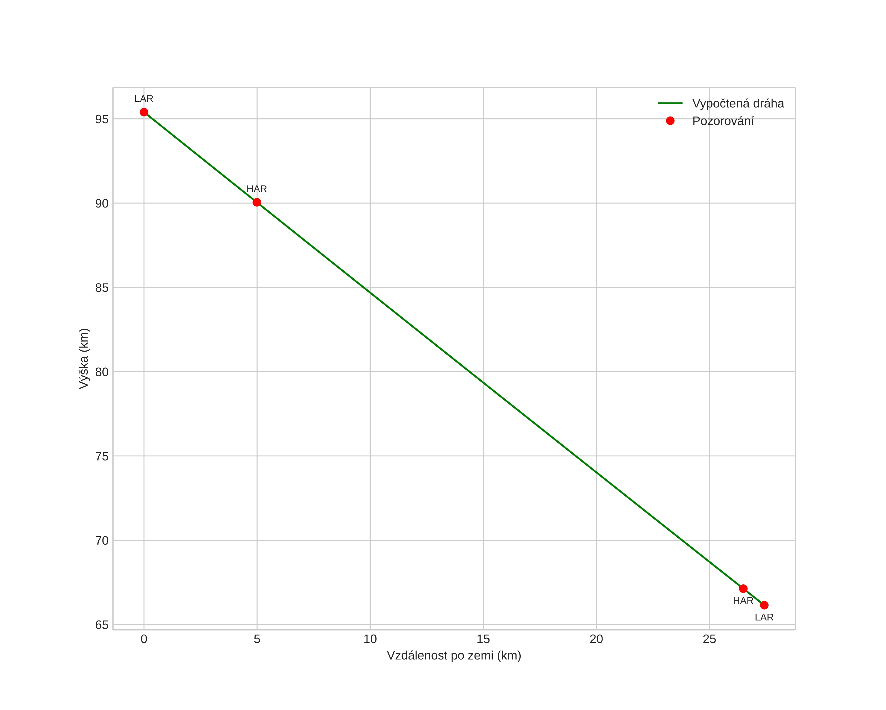
height profile
Atmosférická dráha meteoru:
Počáteční výška: 94,0 km
Konečná výška: 65,1 km
Počáteční poloha: 59,090N 9,739E
Konečná poloha: 59,142N 10,203E
Směr: 77,5°
Sklon: 46,8°
VstupnĂ­ rychlost: 33,6 km/s
Rektascenze radiantu: 07:33 (113,4°)
Deklinace radiantu: 32,1°
MeteorickĂ˝ roj: Geminidy
Elementy dráhy meteoroidu:
Vzdálenost v periheliu: 0,161 AU
Excentricita: 0,865
Sklon dráhy: 20,0°
Délka vzestupného uzlu: 262,1°
Argument perihelia: 323,6°
Střední anomálie: 329,9°
Epocha: 2021 DEC 14 05:00:58
orbit plot

NeinteraktivnĂ­ graf | InteraktivnĂ­ graf

position vs time
speed and acceleration