🇳🇴 🇬🇧 🇩🇪 🇨🇿 🇫🇮

Meteor Sandefjordin yllä 2021-12-14 05:00:58 UTC

KML-tiedosto  |  Interaktiivinen kartta

Kartta näyttää meteorin suuntahavainnot. Vaaleammat viivat näyttävät suunnat havaintoasemilta meteorin ilmestyessä, ja tummemmat viivat näyttävät, missä se viimeksi nähtiin. Sininen nuoli näyttää meteorin näkyvän lennon.

static map
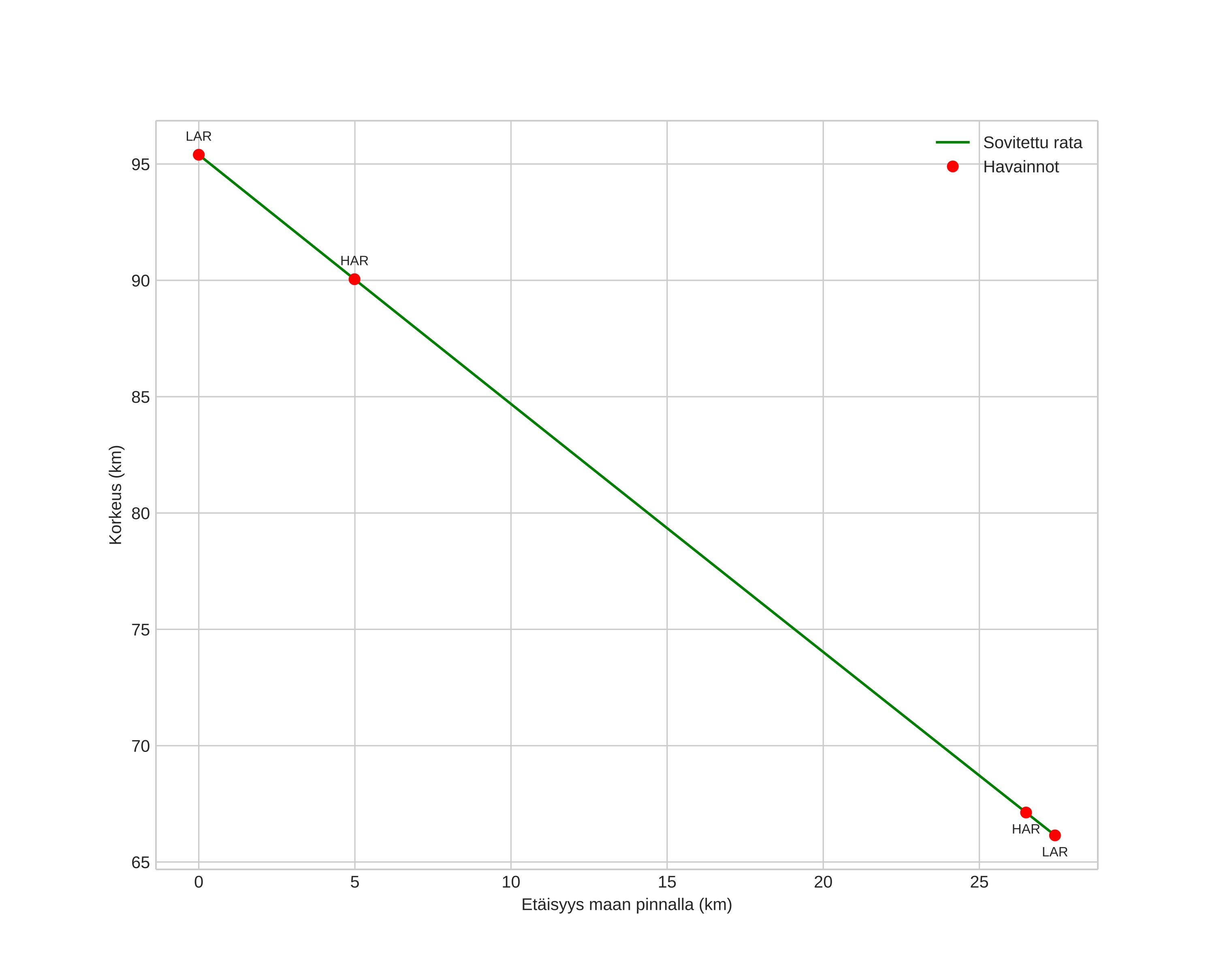
height profile
Meteorin ilmakehärata:
Alkukorkeus: 94,0 km
Loppukorkeus: 65,1 km
Alkupiste: 59,090N 9,739E
Loppupiste: 59,142N 10,203E
Suunta: 77,5°
Kallistuskulma: 46,8°
Tulonopeus: 33,6 km/s
Radiantin R,A,: 07:33 (113,4°)
Radiantin Dekl,: 32,1°
Meteoriparvi: Geminidit
Meteoroidin rataelementit:
Perihelietäisyys: 0,161 AU
Eksentrisyys: 0,865
Inklinaatio: 20,0°
Nousevan solmun pituus: 262,1°
Perihelin argumentti: 323,6°
Keskianomalia: 329,9°
Epookki: 2021 DEC 14 05:00:58
orbit plot

Ei-interaktiivinen kuvaaja | Interaktiivinen kuvaaja

position vs time
speed and acceleration