🇳🇴 🇬🇧 🇩🇪 🇨🇿 🇫🇮

Meteor, poloha: Horndal 2021-12-14 05:53:41 UTC

Soubor KML  |  InteraktivnĂ­ mapa

Mapa zobrazuje dráhy meteoru. Světlejší čáry ukazují směry od pozorovacích stanic při objevení se meteoru a tmavší čáry, kde byl naposledy viděn. Modrá šipka značí viditelnou dráhu meteoru.

static map
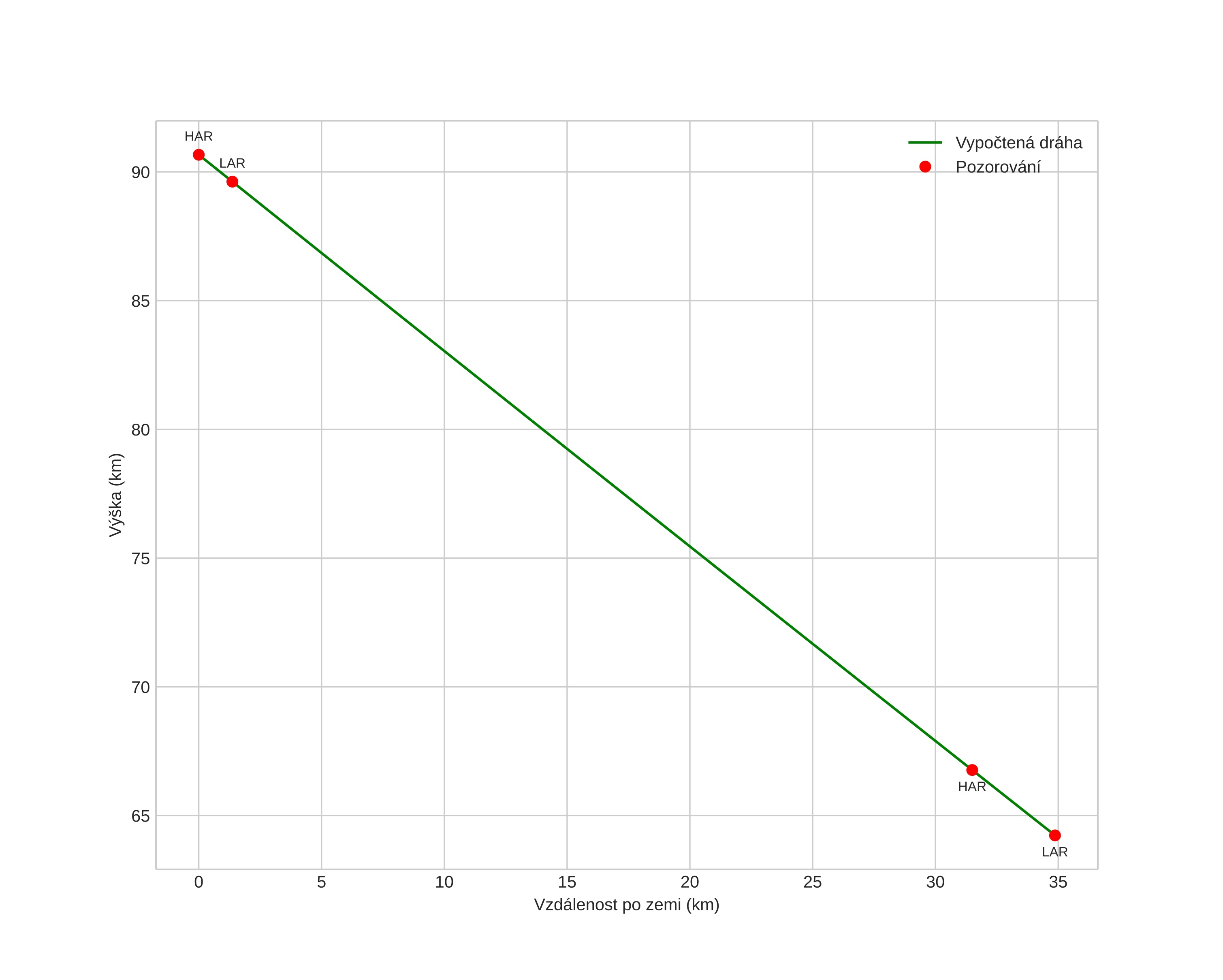
height profile
Atmosférická dráha meteoru:
Počáteční výška: 91,5 km
Konečná výška: 65,7 km
Počáteční poloha: 60,312N 15,771E
Konečná poloha: 60,285N 16,425E
Směr: 94,5°
Sklon: 35,5°
VstupnĂ­ rychlost: 35,8 km/s
Rektascenze radiantu: 07:27 (111,8°)
Deklinace radiantu: 31,0°
MeteorickĂ˝ roj: Geminidy
Elementy dráhy meteoroidu:
Vzdálenost v periheliu: 0,147 AU
Excentricita: 0,897
Sklon dráhy: 19,5°
Délka vzestupného uzlu: 262,1°
Argument perihelia: 323,1°
Střední anomálie: 338,4°
Epocha: 2021 DEC 14 05:53:41
orbit plot

NeinteraktivnĂ­ graf | InteraktivnĂ­ graf

position vs time
speed and acceleration