🇳🇴 🇬🇧 🇩🇪 🇨🇿 🇫🇮

Meteor Horndalin yllä 2021-12-14 05:53:41 UTC

KML-tiedosto  |  Interaktiivinen kartta

Kartta näyttää meteorin suuntahavainnot. Vaaleammat viivat näyttävät suunnat havaintoasemilta meteorin ilmestyessä, ja tummemmat viivat näyttävät, missä se viimeksi nähtiin. Sininen nuoli näyttää meteorin näkyvän lennon.

static map
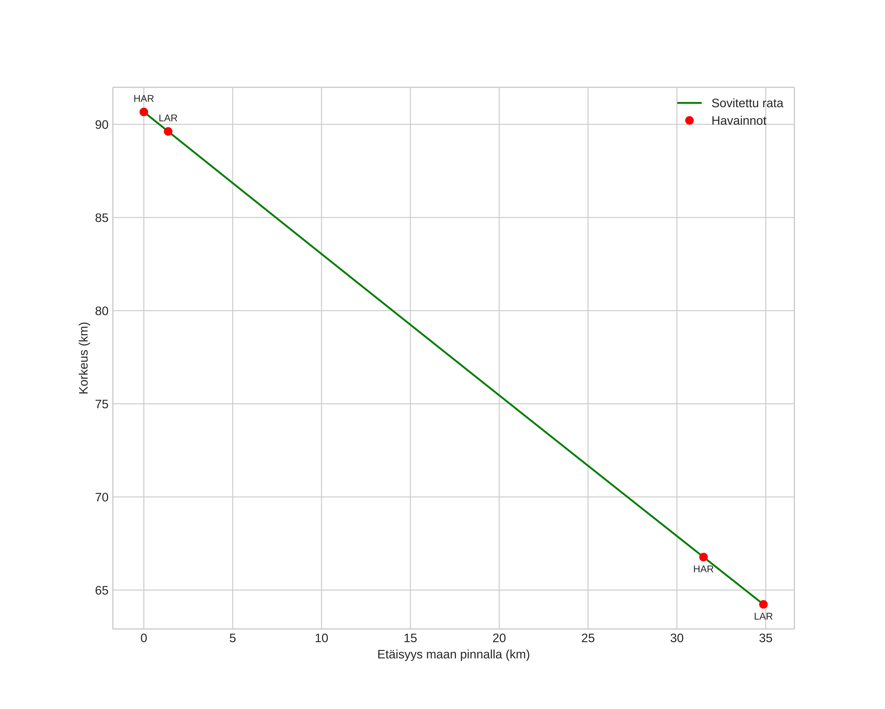
height profile
Meteorin ilmakehärata:
Alkukorkeus: 91,5 km
Loppukorkeus: 65,7 km
Alkupiste: 60,312N 15,771E
Loppupiste: 60,285N 16,425E
Suunta: 94,5°
Kallistuskulma: 35,5°
Tulonopeus: 35,8 km/s
Radiantin R,A,: 07:27 (111,8°)
Radiantin Dekl,: 31,0°
Meteoriparvi: Geminidit
Meteoroidin rataelementit:
Perihelietäisyys: 0,147 AU
Eksentrisyys: 0,897
Inklinaatio: 19,5°
Nousevan solmun pituus: 262,1°
Perihelin argumentti: 323,1°
Keskianomalia: 338,4°
Epookki: 2021 DEC 14 05:53:41
orbit plot

Ei-interaktiivinen kuvaaja | Interaktiivinen kuvaaja

position vs time
speed and acceleration