🇳🇴 🇬🇧 🇩🇪 🇨🇿 🇫🇮

Meteor, poloha: Innbygda 2021-12-14 06:19:58 UTC

Soubor KML  |  InteraktivnĂ­ mapa

Mapa zobrazuje dráhy meteoru. Světlejší čáry ukazují směry od pozorovacích stanic při objevení se meteoru a tmavší čáry, kde byl naposledy viděn. Modrá šipka značí viditelnou dráhu meteoru.

static map
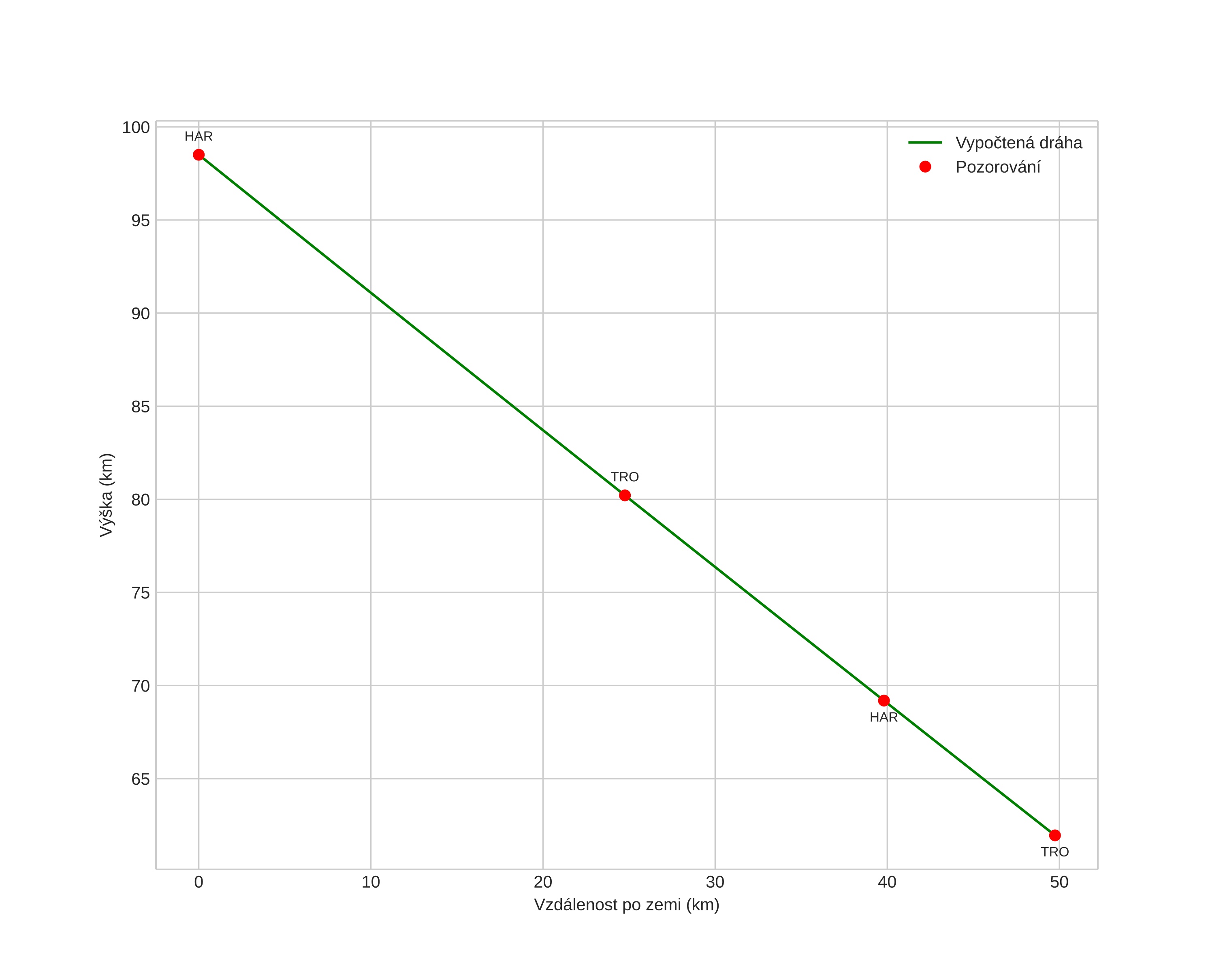
height profile
Atmosférická dráha meteoru:
Počáteční výška: 98,5 km
Konečná výška: 62,0 km
Počáteční poloha: 61,130N 11,412E
Konečná poloha: 61,097N 12,336E
Směr: 93,9°
Sklon: 36,3°
VstupnĂ­ rychlost: 35,0 km/s
Rektascenze radiantu: 07:38 (114,5°)
Deklinace radiantu: 31,5°
MeteorickĂ˝ roj: Geminidy
Elementy dráhy meteoroidu:
Vzdálenost v periheliu: 0,138 AU
Excentricita: 0,887
Sklon dráhy: 21,8°
Délka vzestupného uzlu: 262,2°
Argument perihelia: 325,9°
Střední anomálie: 332,5°
Epocha: 2021 DEC 14 06:19:58
orbit plot

NeinteraktivnĂ­ graf | InteraktivnĂ­ graf

position vs time
speed and acceleration