🇳🇴 🇬🇧 🇩🇪 🇨🇿 🇫🇮

Meteor Innbygdan yllä 2021-12-14 06:19:58 UTC

KML-tiedosto  |  Interaktiivinen kartta

Kartta näyttää meteorin suuntahavainnot. Vaaleammat viivat näyttävät suunnat havaintoasemilta meteorin ilmestyessä, ja tummemmat viivat näyttävät, missä se viimeksi nähtiin. Sininen nuoli näyttää meteorin näkyvän lennon.

static map
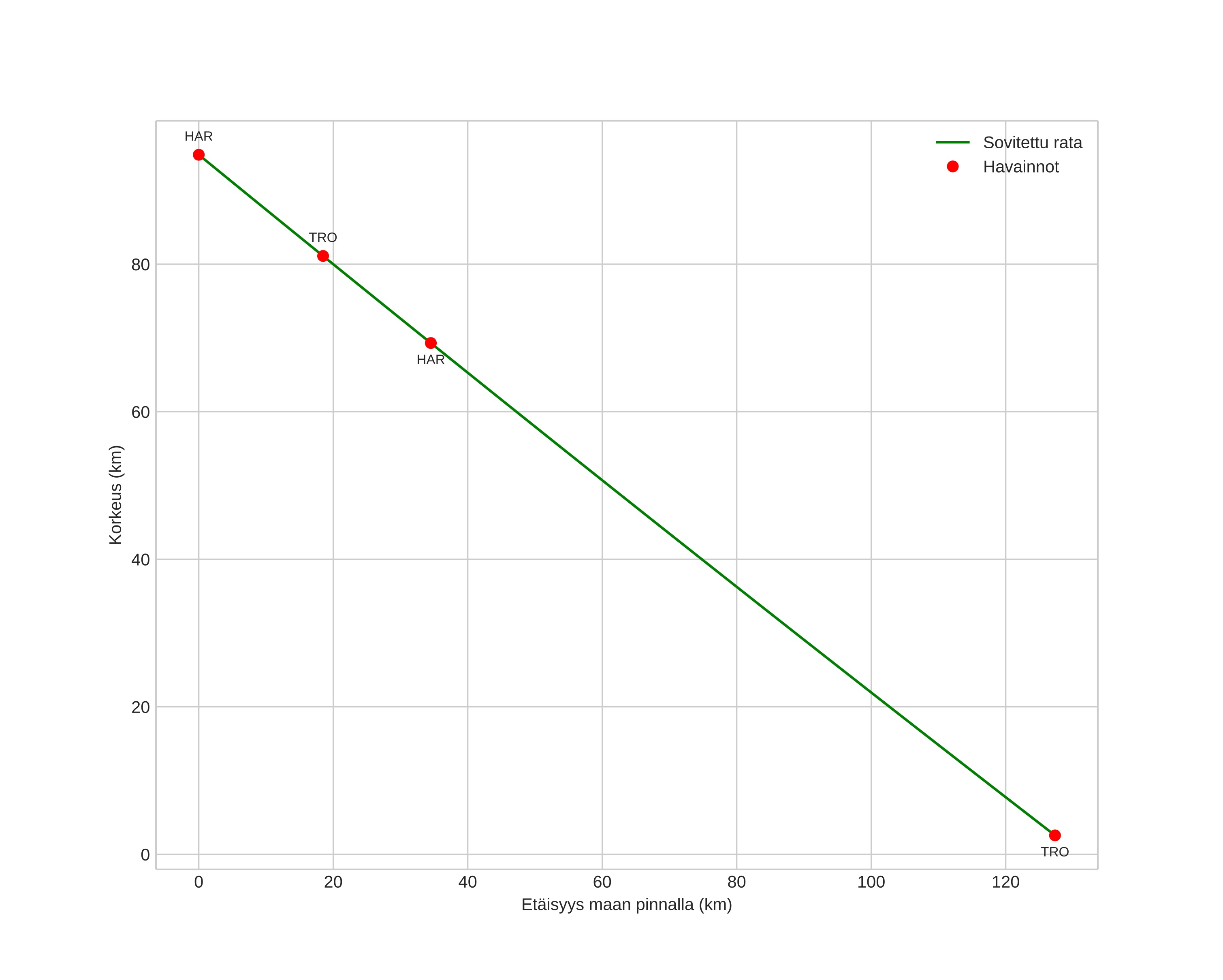
height profile
Meteorin ilmakehärata:
Alkukorkeus: 98,5 km
Loppukorkeus: 62,0 km
Alkupiste: 61,130N 11,412E
Loppupiste: 61,097N 12,336E
Suunta: 93,9°
Kallistuskulma: 36,3°
Tulonopeus: 35,0 km/s
Radiantin R,A,: 07:38 (114,5°)
Radiantin Dekl,: 31,5°
Meteoriparvi: Geminidit
Meteoroidin rataelementit:
Perihelietäisyys: 0,138 AU
Eksentrisyys: 0,887
Inklinaatio: 21,8°
Nousevan solmun pituus: 262,2°
Perihelin argumentti: 325,9°
Keskianomalia: 332,5°
Epookki: 2021 DEC 14 06:19:58
orbit plot

Ei-interaktiivinen kuvaaja | Interaktiivinen kuvaaja

position vs time
speed and acceleration