🇳🇴 🇬🇧 🇩🇪 🇨🇿 🇫🇮

Meteor, poloha: Andenes 2021-12-14 15:33:42 UTC

Soubor KML  |  InteraktivnĂ­ mapa

Mapa zobrazuje dráhy meteoru. Světlejší čáry ukazují směry od pozorovacích stanic při objevení se meteoru a tmavší čáry, kde byl naposledy viděn. Modrá šipka značí viditelnou dráhu meteoru.

static map
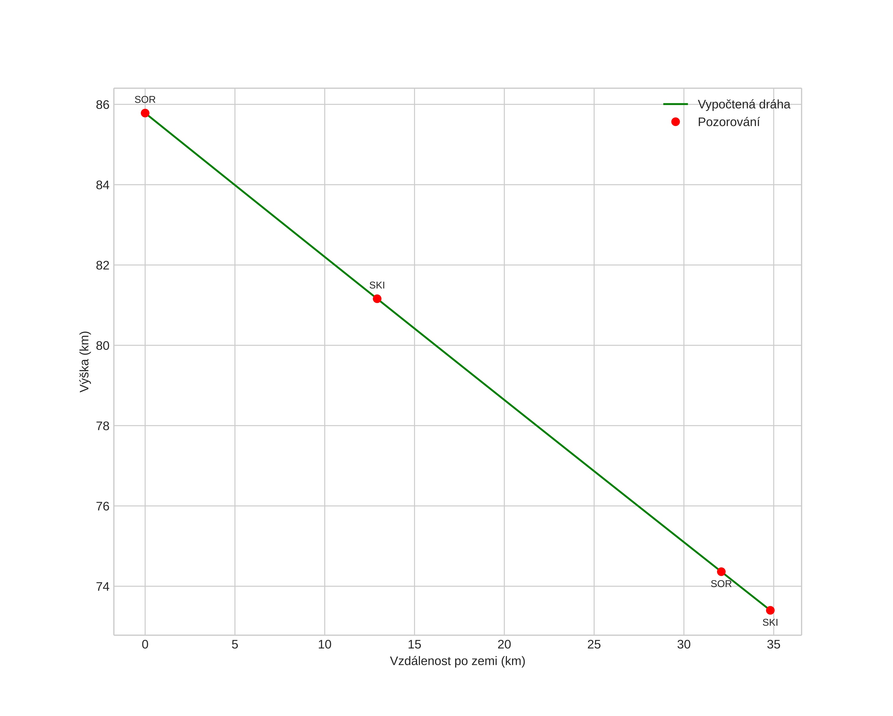
height profile
Atmosférická dráha meteoru:
Počáteční výška: 83,6 km
Konečná výška: 72,8 km
Počáteční poloha: 69,592N 17,110E
Konečná poloha: 69,325N 16,592E
Směr: 214,5°
Sklon: 16,8°
VstupnĂ­ rychlost: 34,1 km/s
Rektascenze radiantu: 07:36 (114,2°)
Deklinace radiantu: 30,9°
MeteorickĂ˝ roj: Geminidy
Elementy dráhy meteoroidu:
Vzdálenost v periheliu: 0,149 AU
Excentricita: 0,873
Sklon dráhy: 18,7°
Délka vzestupného uzlu: 262,6°
Argument perihelia: 325,1°
Střední anomálie: 329,9°
Epocha: 2021 DEC 14 15:33:42
orbit plot

NeinteraktivnĂ­ graf | InteraktivnĂ­ graf

position vs time
speed and acceleration