🇳🇴 🇬🇧 🇩🇪 🇨🇿 🇫🇮

Meteor Andenesin yllä 2021-12-14 15:33:42 UTC

KML-tiedosto  |  Interaktiivinen kartta

Kartta näyttää meteorin suuntahavainnot. Vaaleammat viivat näyttävät suunnat havaintoasemilta meteorin ilmestyessä, ja tummemmat viivat näyttävät, missä se viimeksi nähtiin. Sininen nuoli näyttää meteorin näkyvän lennon.

static map
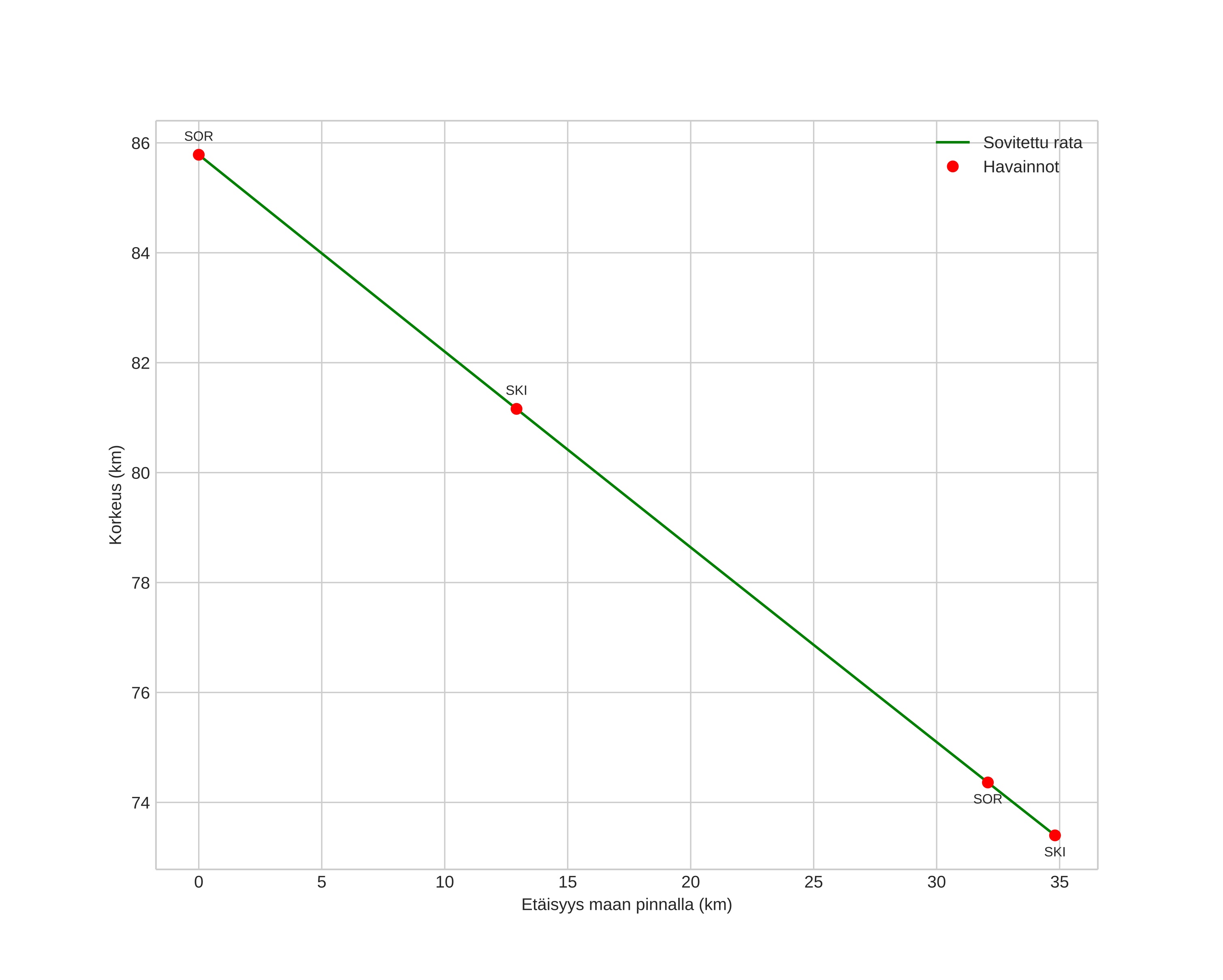
height profile
Meteorin ilmakehärata:
Alkukorkeus: 83,6 km
Loppukorkeus: 72,8 km
Alkupiste: 69,592N 17,110E
Loppupiste: 69,325N 16,592E
Suunta: 214,5°
Kallistuskulma: 16,8°
Tulonopeus: 34,1 km/s
Radiantin R,A,: 07:36 (114,2°)
Radiantin Dekl,: 30,9°
Meteoriparvi: Geminidit
Meteoroidin rataelementit:
Perihelietäisyys: 0,149 AU
Eksentrisyys: 0,873
Inklinaatio: 18,7°
Nousevan solmun pituus: 262,6°
Perihelin argumentti: 325,1°
Keskianomalia: 329,9°
Epookki: 2021 DEC 14 15:33:42
orbit plot

Ei-interaktiivinen kuvaaja | Interaktiivinen kuvaaja

position vs time
speed and acceleration