🇳🇴 🇬🇧 🇩🇪 🇨🇿 🇫🇮

Meteor, poloha: Finnsnes 2021-12-14 18:51:14 UTC

Soubor KML  |  InteraktivnĂ­ mapa

Mapa zobrazuje dráhy meteoru. Světlejší čáry ukazují směry od pozorovacích stanic při objevení se meteoru a tmavší čáry, kde byl naposledy viděn. Modrá šipka značí viditelnou dráhu meteoru.

static map
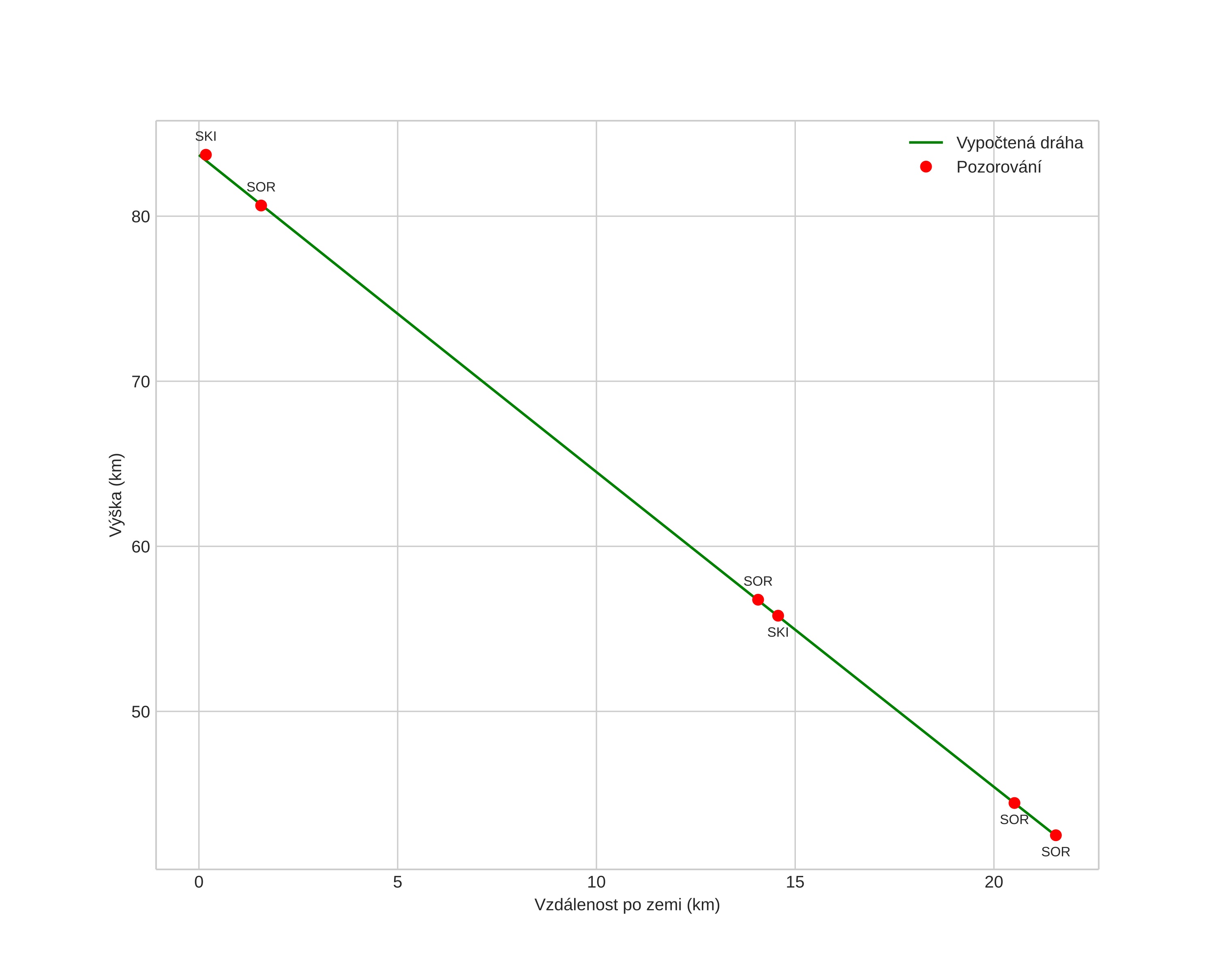
height profile
Atmosférická dráha meteoru:
Počáteční výška: 64,7 km
Konečná výška: 16,8 km
Počáteční poloha: 69,145N 18,635E
Konečná poloha: 69,110N 17,913E
Směr: 262,5°
Sklon: 58,9°
VstupnĂ­ rychlost: 25,0 km/s
Rektascenze radiantu: 06:02 (90,7°)
Deklinace radiantu: 54,4°
MeteorickĂ˝ roj: sporadickĂ˝
Elementy dráhy meteoroidu:
Vzdálenost v periheliu: 0,598 AU
Excentricita: 0,636
Sklon dráhy: 22,5°
Délka vzestupného uzlu: 262,7°
Argument perihelia: 270,5°
Střední anomálie: 337,3°
Epocha: 2021 DEC 14 18:51:14
orbit plot

NeinteraktivnĂ­ graf | InteraktivnĂ­ graf

position vs time
speed and acceleration