🇳🇴 🇬🇧 🇩🇪 🇨🇿 🇫🇮

Meteor Finnsnesin yllä 2021-12-14 18:51:14 UTC

KML-tiedosto  |  Interaktiivinen kartta

Kartta näyttää meteorin suuntahavainnot. Vaaleammat viivat näyttävät suunnat havaintoasemilta meteorin ilmestyessä, ja tummemmat viivat näyttävät, missä se viimeksi nähtiin. Sininen nuoli näyttää meteorin näkyvän lennon.

static map
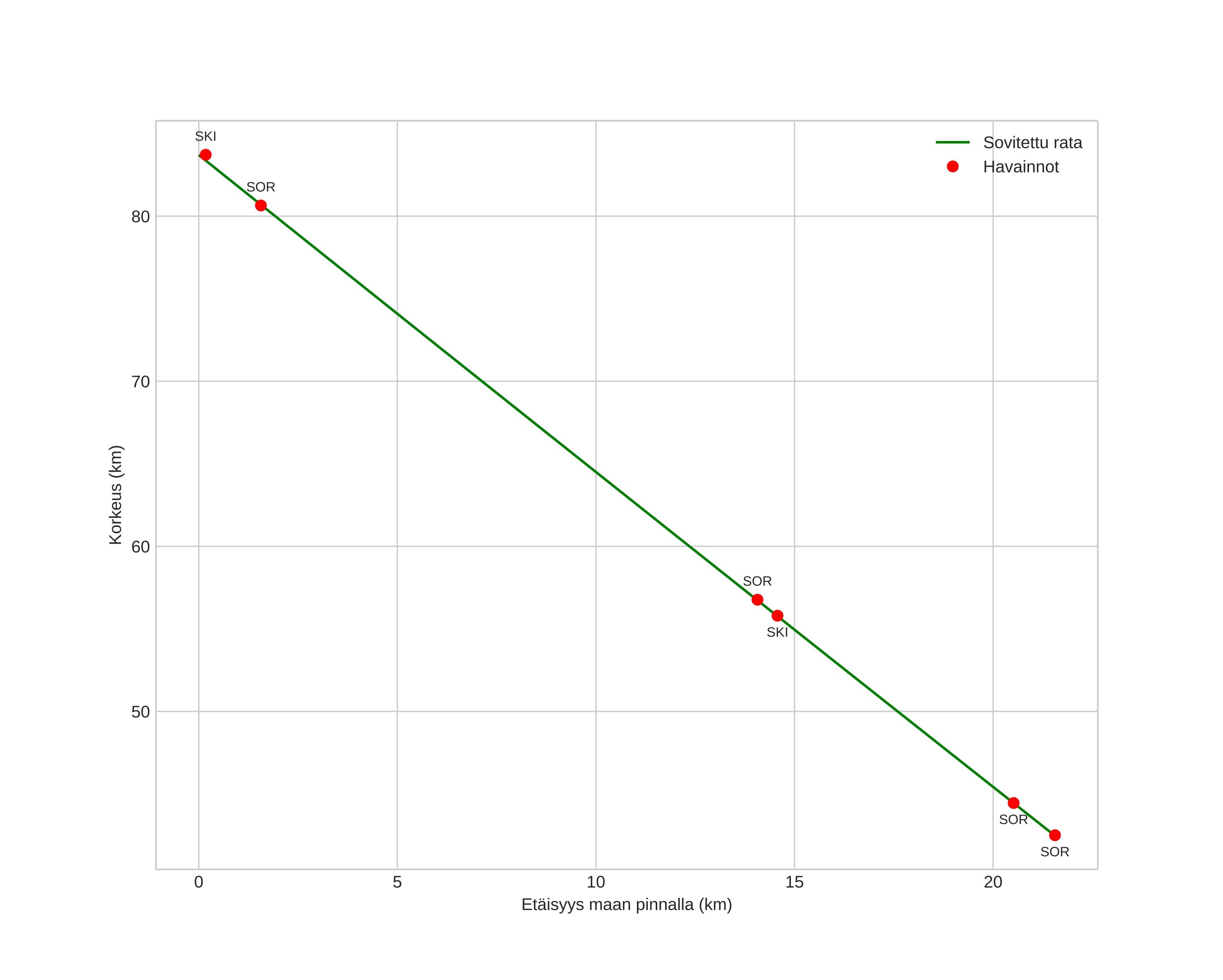
height profile
Meteorin ilmakehärata:
Alkukorkeus: 64,7 km
Loppukorkeus: 16,8 km
Alkupiste: 69,145N 18,635E
Loppupiste: 69,110N 17,913E
Suunta: 262,5°
Kallistuskulma: 58,9°
Tulonopeus: 25,0 km/s
Radiantin R,A,: 06:02 (90,7°)
Radiantin Dekl,: 54,4°
Meteoriparvi: Sporadinen
Meteoroidin rataelementit:
Perihelietäisyys: 0,598 AU
Eksentrisyys: 0,636
Inklinaatio: 22,5°
Nousevan solmun pituus: 262,7°
Perihelin argumentti: 270,5°
Keskianomalia: 337,3°
Epookki: 2021 DEC 14 18:51:14
orbit plot

Ei-interaktiivinen kuvaaja | Interaktiivinen kuvaaja

position vs time
speed and acceleration