🇳🇴 🇬🇧 🇩🇪 🇨🇿 🇫🇮

Meteor, poloha: Olderdalen 2021-12-15 03:49:53 UTC

Soubor KML  |  InteraktivnĂ­ mapa

Mapa zobrazuje dráhy meteoru. Světlejší čáry ukazují směry od pozorovacích stanic při objevení se meteoru a tmavší čáry, kde byl naposledy viděn. Modrá šipka značí viditelnou dráhu meteoru.

static map
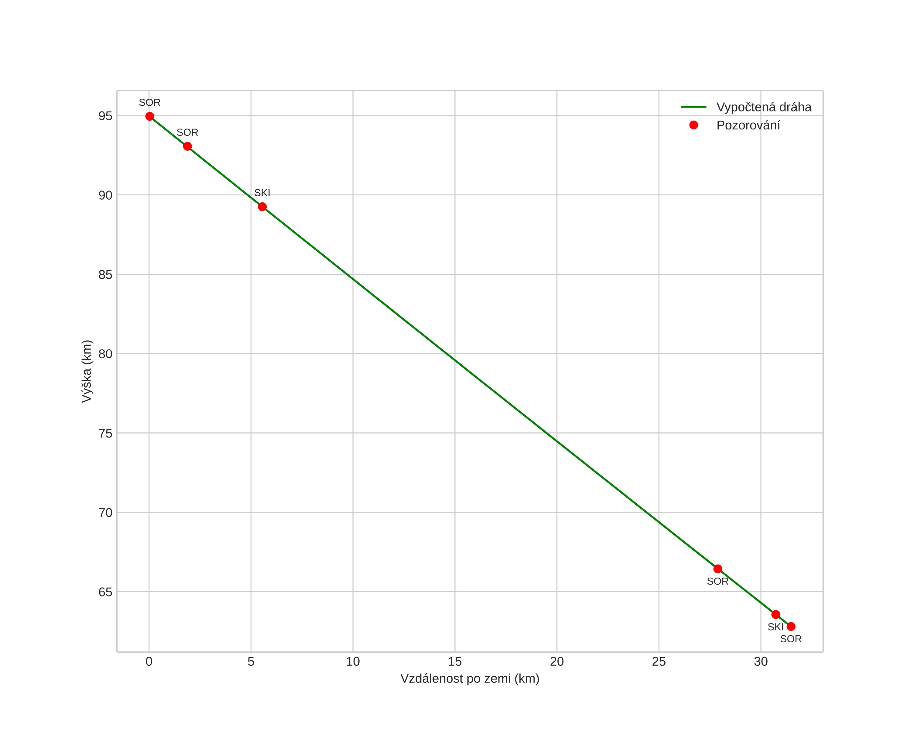
height profile
Atmosférická dráha meteoru:
Počáteční výška: 94,9 km
Konečná výška: 62,8 km
Počáteční poloha: 68,749N 20,061E
Konečná poloha: 68,881N 20,767E
Směr: 62,2°
Sklon: 45,1°
VstupnĂ­ rychlost: 36,4 km/s
Rektascenze radiantu: 07:30 (112,5°)
Deklinace radiantu: 31,6°
MeteorickĂ˝ roj: Geminidy
Elementy dráhy meteoroidu:
Vzdálenost v periheliu: 0,151 AU
Excentricita: 0,900
Sklon dráhy: 21,1°
Délka vzestupného uzlu: 263,1°
Argument perihelia: 322,0°
Střední anomálie: 340,4°
Epocha: 2021 DEC 15 03:49:53
orbit plot

NeinteraktivnĂ­ graf | InteraktivnĂ­ graf

position vs time
speed and acceleration