🇳🇴 🇬🇧 🇩🇪 🇨🇿 🇫🇮

Meteor Olderdalenin yllä 2021-12-15 03:49:53 UTC

KML-tiedosto  |  Interaktiivinen kartta

Kartta näyttää meteorin suuntahavainnot. Vaaleammat viivat näyttävät suunnat havaintoasemilta meteorin ilmestyessä, ja tummemmat viivat näyttävät, missä se viimeksi nähtiin. Sininen nuoli näyttää meteorin näkyvän lennon.

static map
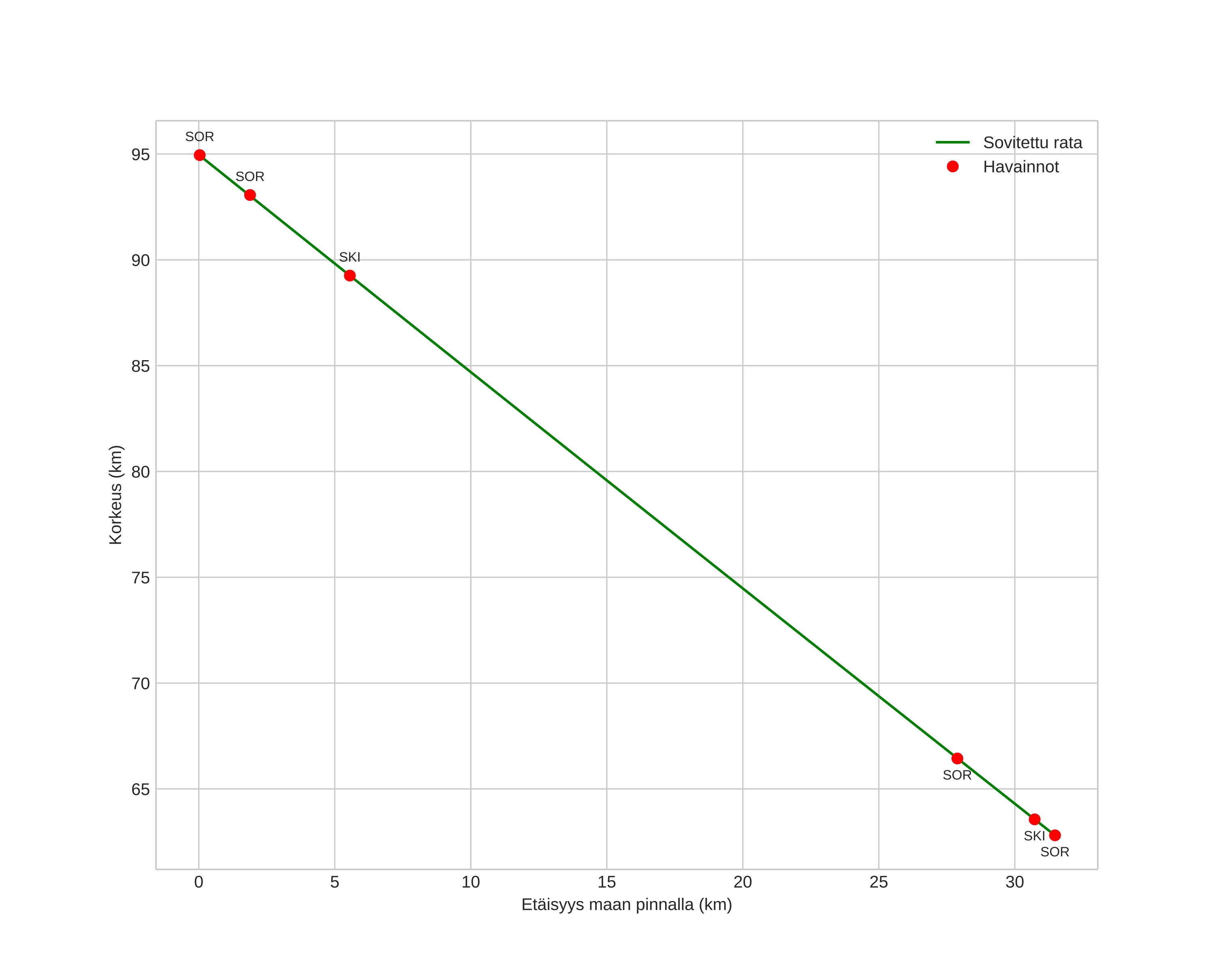
height profile
Meteorin ilmakehärata:
Alkukorkeus: 94,9 km
Loppukorkeus: 62,8 km
Alkupiste: 68,749N 20,061E
Loppupiste: 68,881N 20,767E
Suunta: 62,2°
Kallistuskulma: 45,1°
Tulonopeus: 36,4 km/s
Radiantin R,A,: 07:30 (112,5°)
Radiantin Dekl,: 31,6°
Meteoriparvi: Geminidit
Meteoroidin rataelementit:
Perihelietäisyys: 0,151 AU
Eksentrisyys: 0,900
Inklinaatio: 21,1°
Nousevan solmun pituus: 263,1°
Perihelin argumentti: 322,0°
Keskianomalia: 340,4°
Epookki: 2021 DEC 15 03:49:53
orbit plot

Ei-interaktiivinen kuvaaja | Interaktiivinen kuvaaja

position vs time
speed and acceleration