🇳🇴 🇬🇧 🇩🇪 🇨🇿 🇫🇮

Meteor, poloha: Skjervøy 2021-12-15 06:34:07 UTC

Soubor KML  |  InteraktivnĂ­ mapa

Mapa zobrazuje dráhy meteoru. Světlejší čáry ukazují směry od pozorovacích stanic při objevení se meteoru a tmavší čáry, kde byl naposledy viděn. Modrá šipka značí viditelnou dráhu meteoru.

static map
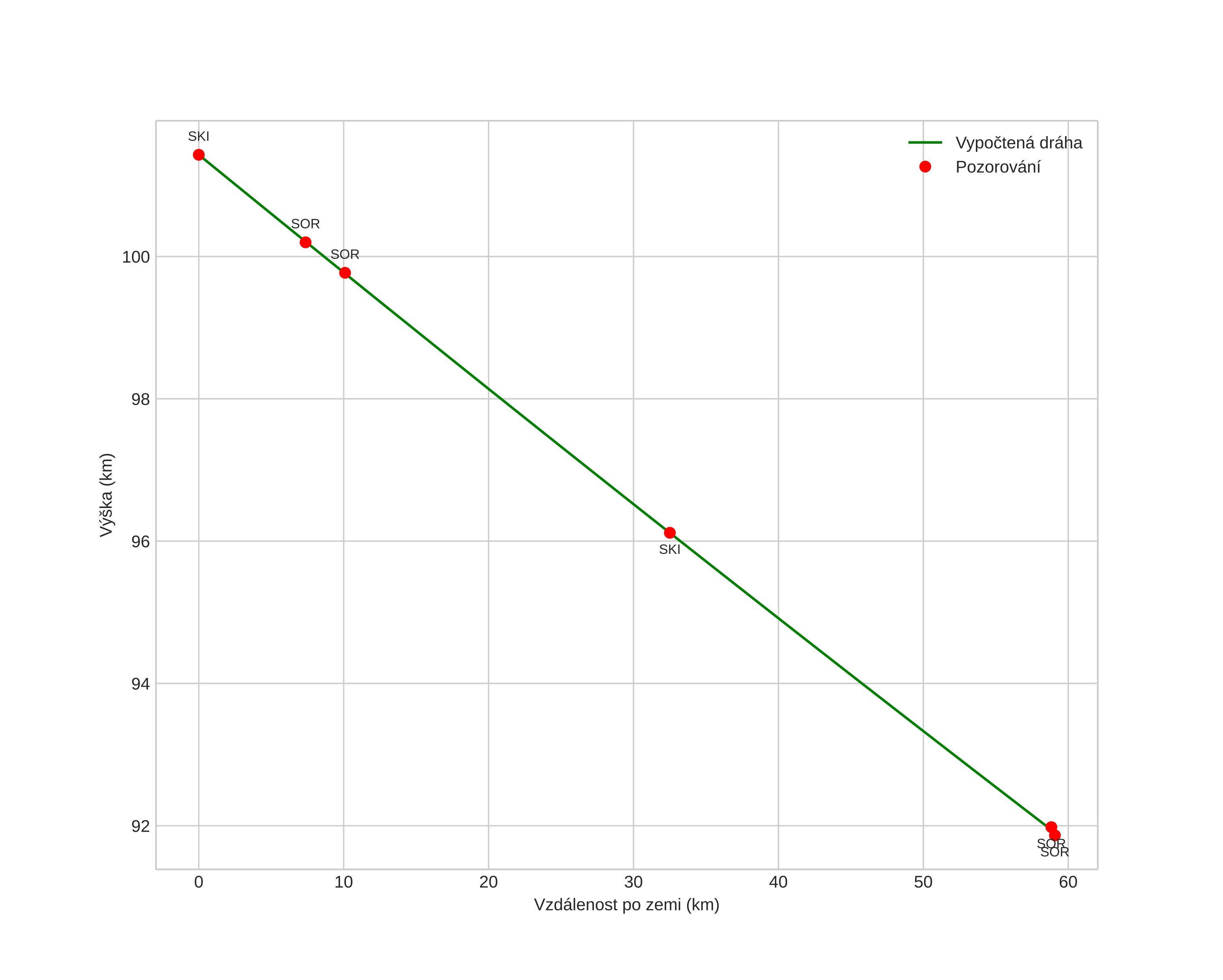
height profile
Atmosférická dráha meteoru:
Počáteční výška: 102,6 km
Konečná výška: 92,7 km
Počáteční poloha: 70,019N 18,960E
Konečná poloha: 70,134N 20,519E
Směr: 77,1°
Sklon: 9,3°
VstupnĂ­ rychlost: 43,7 km/s
Rektascenze radiantu: 08:23 (126,0°)
Deklinace radiantu: 2,9°
MeteorickĂ˝ roj: sporadickĂ˝
Elementy dráhy meteoroidu:
Vzdálenost v periheliu: 0,079 AU
Excentricita: 0,929
Sklon dráhy: 81,8°
Délka vzestupného uzlu: 83,2°
Argument perihelia: 155,6°
Střední anomálie: 329,6°
Epocha: 2021 DEC 15 06:34:07
orbit plot

NeinteraktivnĂ­ graf | InteraktivnĂ­ graf

position vs time
speed and acceleration