🇳🇴 🇬🇧 🇩🇪 🇨🇿 🇫🇮

Meteor Skjervøyn yllä 2021-12-15 06:34:07 UTC

KML-tiedosto  |  Interaktiivinen kartta

Kartta näyttää meteorin suuntahavainnot. Vaaleammat viivat näyttävät suunnat havaintoasemilta meteorin ilmestyessä, ja tummemmat viivat näyttävät, missä se viimeksi nähtiin. Sininen nuoli näyttää meteorin näkyvän lennon.

static map
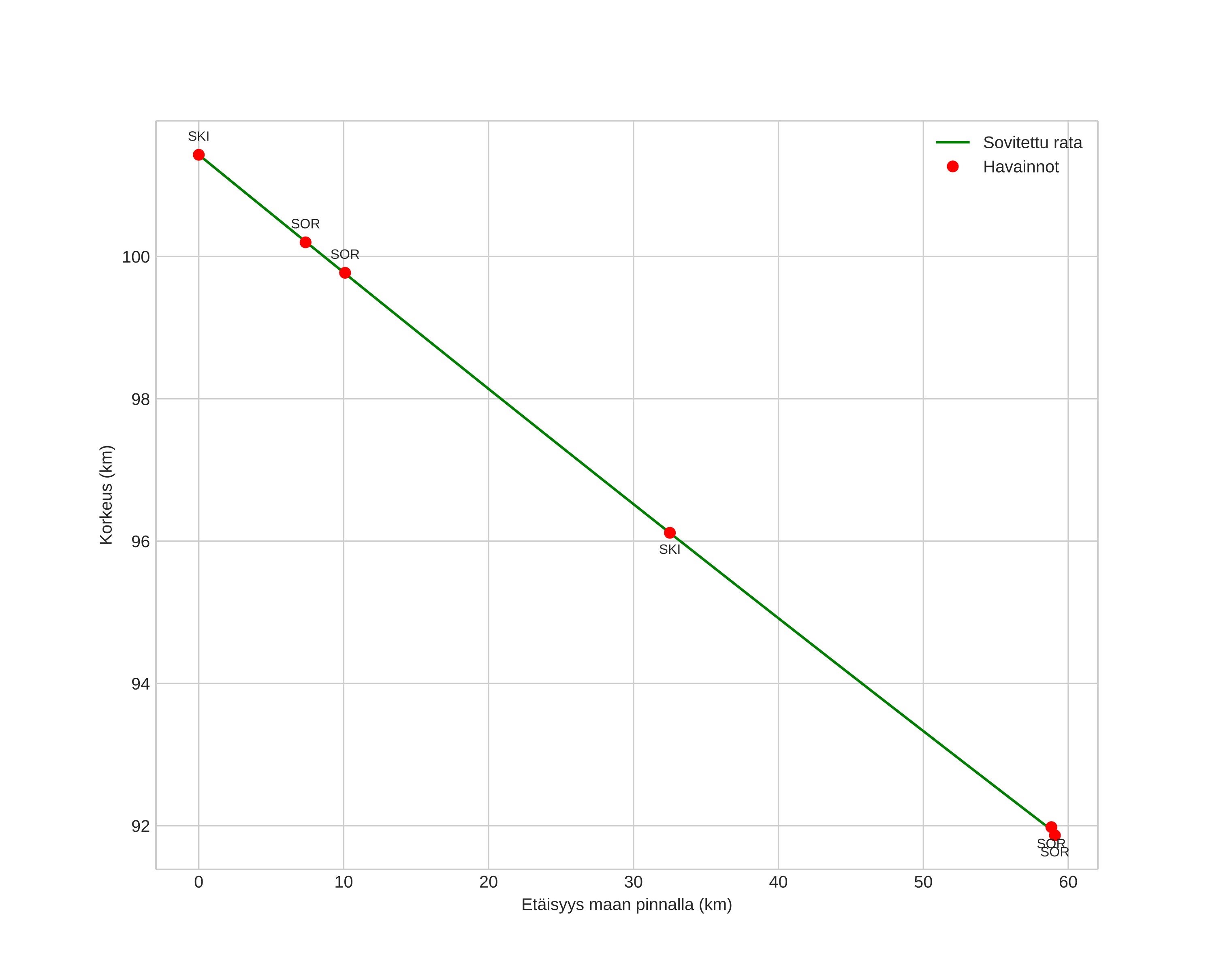
height profile
Meteorin ilmakehärata:
Alkukorkeus: 102,6 km
Loppukorkeus: 92,7 km
Alkupiste: 70,019N 18,960E
Loppupiste: 70,134N 20,519E
Suunta: 77,1°
Kallistuskulma: 9,3°
Tulonopeus: 43,7 km/s
Radiantin R,A,: 08:23 (126,0°)
Radiantin Dekl,: 2,9°
Meteoriparvi: Sporadinen
Meteoroidin rataelementit:
Perihelietäisyys: 0,079 AU
Eksentrisyys: 0,929
Inklinaatio: 81,8°
Nousevan solmun pituus: 83,2°
Perihelin argumentti: 155,6°
Keskianomalia: 329,6°
Epookki: 2021 DEC 15 06:34:07
orbit plot

Ei-interaktiivinen kuvaaja | Interaktiivinen kuvaaja

position vs time
speed and acceleration