🇳🇴 🇬🇧 🇩🇪 🇨🇿 🇫🇮

Meteor, poloha: Klitmøller 2021-12-15 20:22:37 UTC

Soubor KML  |  InteraktivnĂ­ mapa

Mapa zobrazuje dráhy meteoru. Světlejší čáry ukazují směry od pozorovacích stanic při objevení se meteoru a tmavší čáry, kde byl naposledy viděn. Modrá šipka značí viditelnou dráhu meteoru.

static map
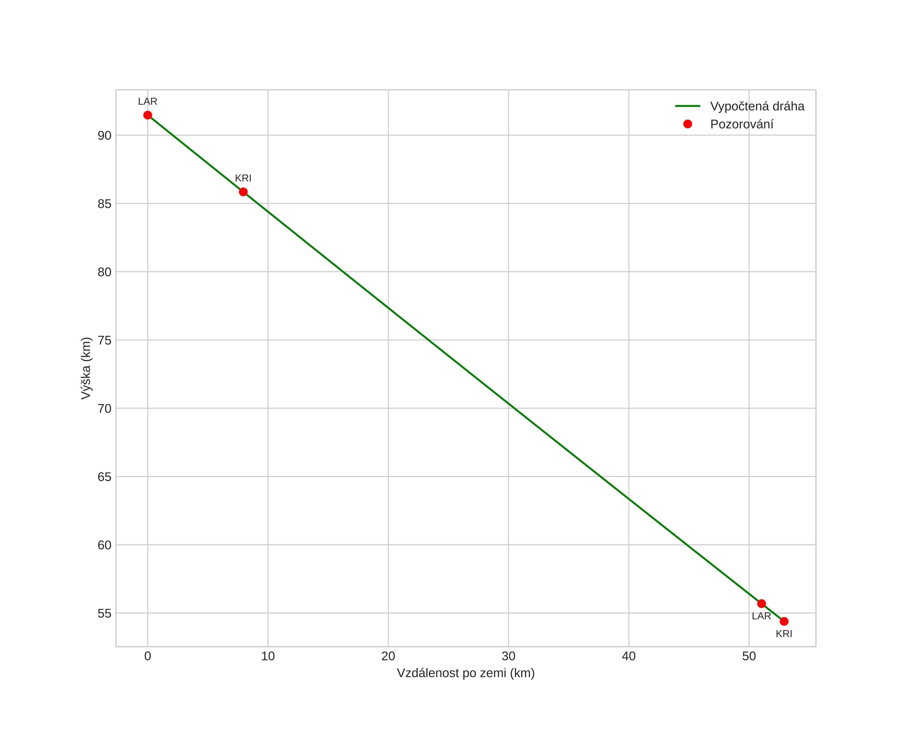
height profile
Atmosférická dráha meteoru:
Počáteční výška: 93,2 km
Konečná výška: 57,1 km
Počáteční poloha: 57,355N 9,028E
Konečná poloha: 57,510N 8,230E
Směr: 290,2°
Sklon: 35,4°
VstupnĂ­ rychlost: 40,5 km/s
Rektascenze radiantu: 06:14 (93,7°)
Deklinace radiantu: 18,7°
MeteorickĂ˝ roj: sporadickĂ˝
Elementy dráhy meteoroidu:
Vzdálenost v periheliu: 0,301 AU
Excentricita: 1,079
Sklon dráhy: 7,6°
Délka vzestupného uzlu: 83,8°
Argument perihelia: 109,7°
Střední anomálie: -4,5°
Epocha: 2021 DEC 15 20:22:37
orbit plot

NeinteraktivnĂ­ graf | InteraktivnĂ­ graf

position vs time
speed and acceleration