🇳🇴 🇬🇧 🇩🇪 🇨🇿 🇫🇮

Meteor Klitmøllerin yllä 2021-12-15 20:22:37 UTC

KML-tiedosto  |  Interaktiivinen kartta

Kartta näyttää meteorin suuntahavainnot. Vaaleammat viivat näyttävät suunnat havaintoasemilta meteorin ilmestyessä, ja tummemmat viivat näyttävät, missä se viimeksi nähtiin. Sininen nuoli näyttää meteorin näkyvän lennon.

static map
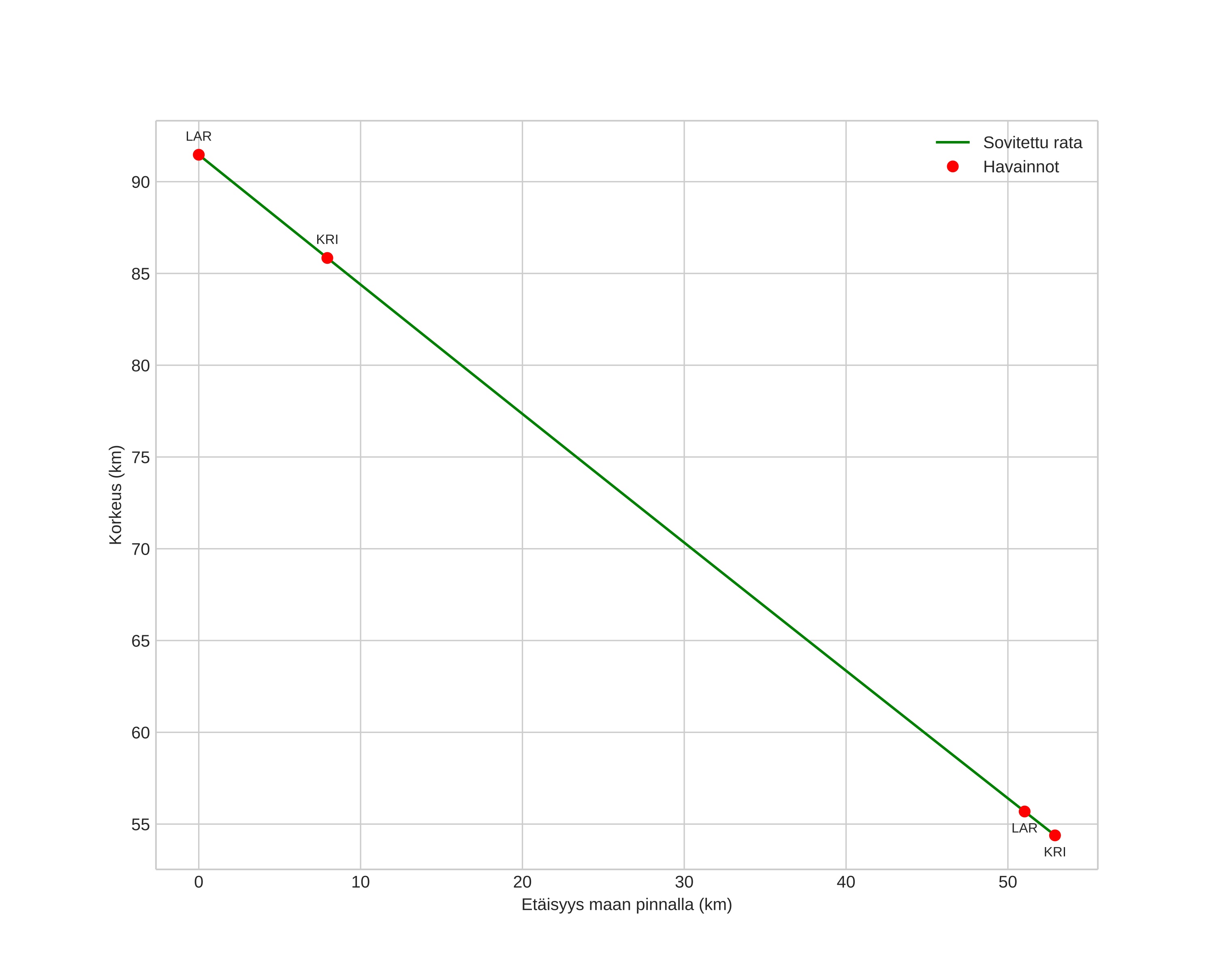
height profile
Meteorin ilmakehärata:
Alkukorkeus: 93,2 km
Loppukorkeus: 57,1 km
Alkupiste: 57,355N 9,028E
Loppupiste: 57,510N 8,230E
Suunta: 290,2°
Kallistuskulma: 35,4°
Tulonopeus: 40,5 km/s
Radiantin R,A,: 06:14 (93,7°)
Radiantin Dekl,: 18,7°
Meteoriparvi: Sporadinen
Meteoroidin rataelementit:
Perihelietäisyys: 0,301 AU
Eksentrisyys: 1,079
Inklinaatio: 7,6°
Nousevan solmun pituus: 83,8°
Perihelin argumentti: 109,7°
Keskianomalia: -4,5°
Epookki: 2021 DEC 15 20:22:37
orbit plot

Ei-interaktiivinen kuvaaja | Interaktiivinen kuvaaja

position vs time
speed and acceleration