🇳🇴 🇬🇧 🇩🇪 🇨🇿 🇫🇮

Meteor, poloha: Mandal 2021-12-15 23:32:45 UTC

Soubor KML  |  InteraktivnĂ­ mapa

Mapa zobrazuje dráhy meteoru. Světlejší čáry ukazují směry od pozorovacích stanic při objevení se meteoru a tmavší čáry, kde byl naposledy viděn. Modrá šipka značí viditelnou dráhu meteoru.

static map
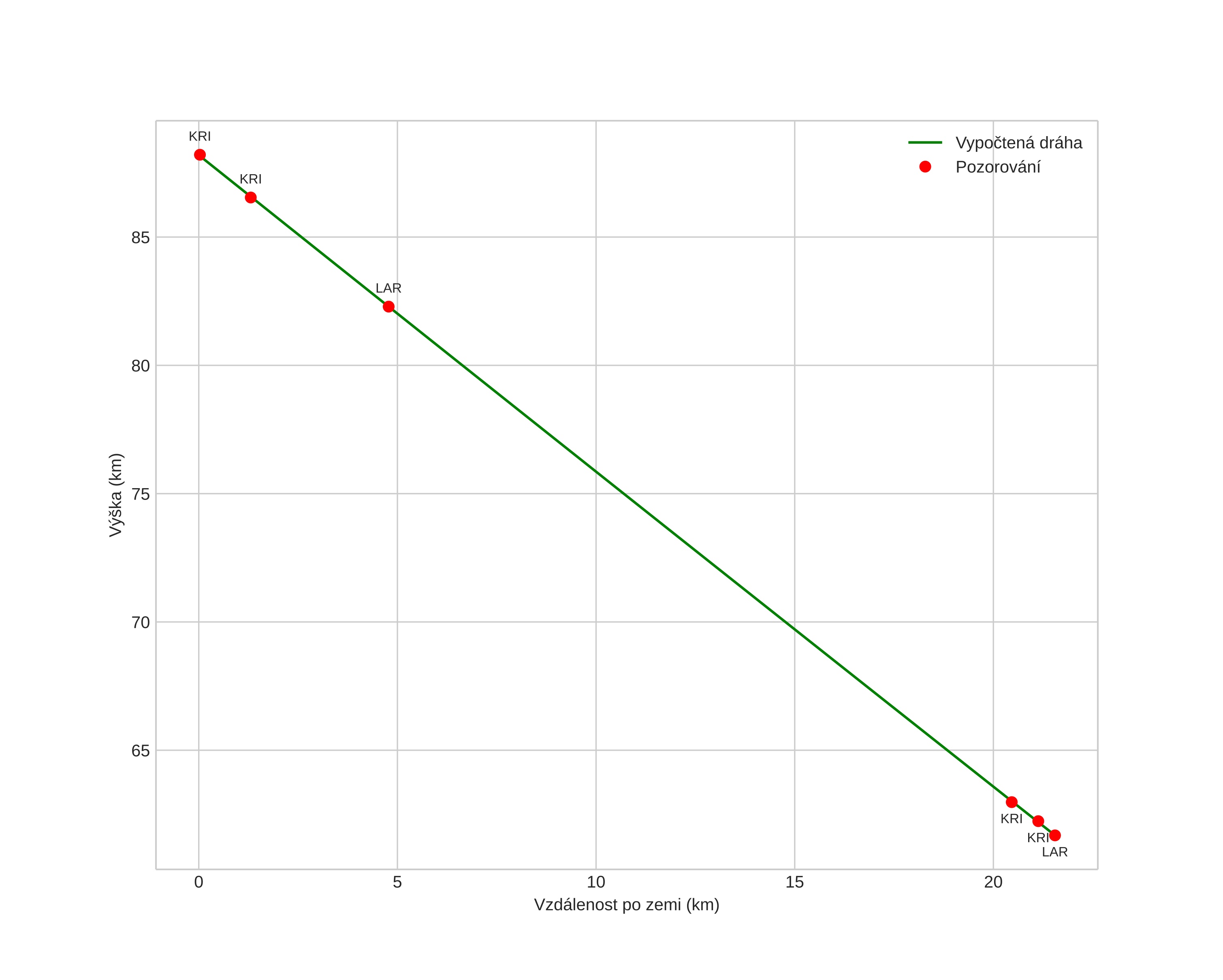
height profile
Atmosférická dráha meteoru:
Počáteční výška: 97,1 km
Konečná výška: 61,6 km
Počáteční poloha: 57,808N 7,427E
Konečná poloha: 58,065N 7,431E
Směr: 0,5°
Sklon: 51,2°
VstupnĂ­ rychlost: 26,7 km/s
Rektascenze radiantu: 05:36 (84,1°)
Deklinace radiantu: 17,0°
MeteorickĂ˝ roj: sporadickĂ˝
Elementy dráhy meteoroidu:
Vzdálenost v periheliu: 0,549 AU
Excentricita: 0,813
Sklon dráhy: 5,1°
Délka vzestupného uzlu: 83,9°
Argument perihelia: 89,1°
Střední anomálie: 351,7°
Epocha: 2021 DEC 15 23:32:45
orbit plot

NeinteraktivnĂ­ graf | InteraktivnĂ­ graf

position vs time
speed and acceleration