🇳🇴 🇬🇧 🇩🇪 🇨🇿 🇫🇮

Meteor Mandalin yllä 2021-12-15 23:32:45 UTC

KML-tiedosto  |  Interaktiivinen kartta

Kartta näyttää meteorin suuntahavainnot. Vaaleammat viivat näyttävät suunnat havaintoasemilta meteorin ilmestyessä, ja tummemmat viivat näyttävät, missä se viimeksi nähtiin. Sininen nuoli näyttää meteorin näkyvän lennon.

static map
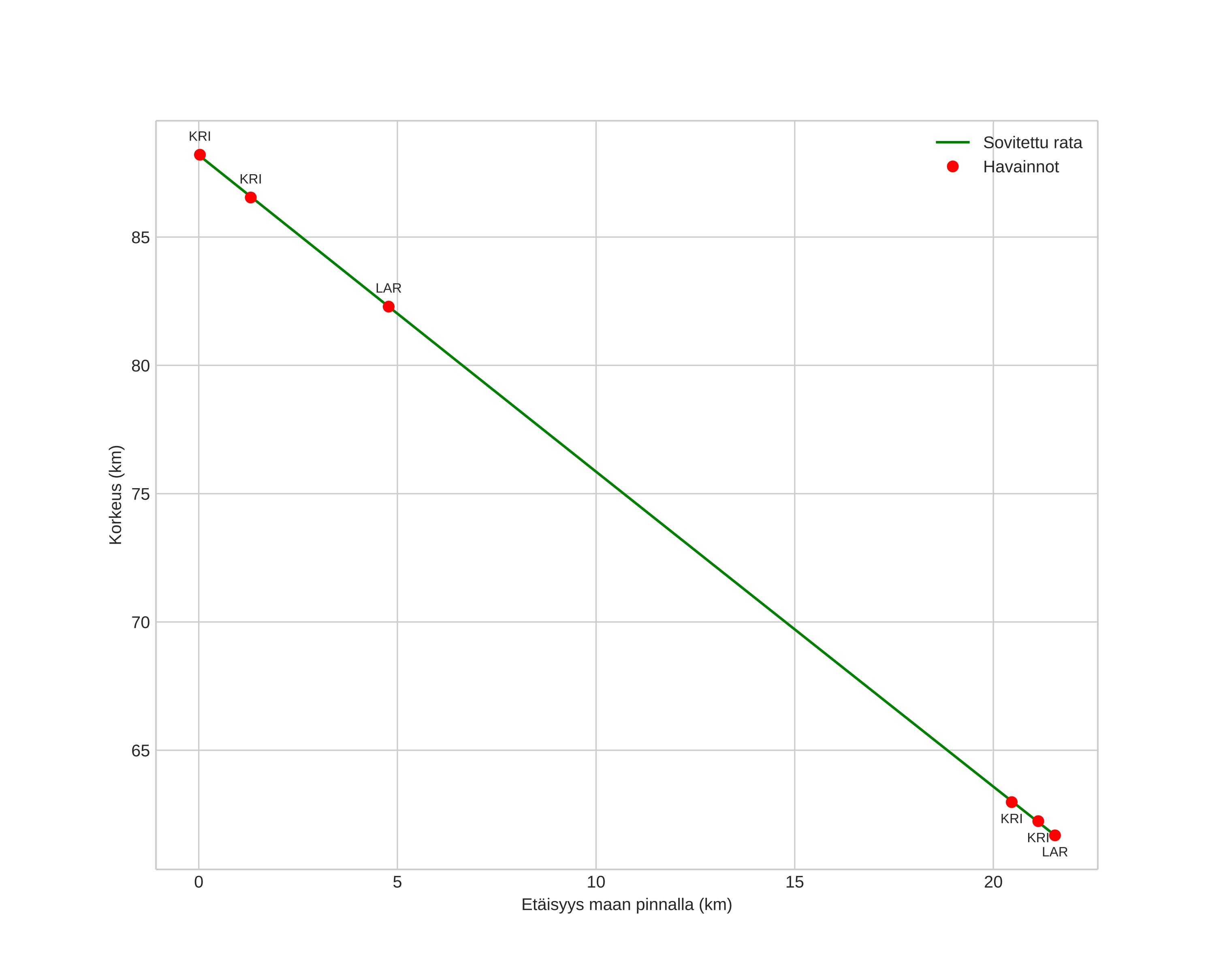
height profile
Meteorin ilmakehärata:
Alkukorkeus: 97,1 km
Loppukorkeus: 61,6 km
Alkupiste: 57,808N 7,427E
Loppupiste: 58,065N 7,431E
Suunta: 0,5°
Kallistuskulma: 51,2°
Tulonopeus: 26,7 km/s
Radiantin R,A,: 05:36 (84,1°)
Radiantin Dekl,: 17,0°
Meteoriparvi: Sporadinen
Meteoroidin rataelementit:
Perihelietäisyys: 0,549 AU
Eksentrisyys: 0,813
Inklinaatio: 5,1°
Nousevan solmun pituus: 83,9°
Perihelin argumentti: 89,1°
Keskianomalia: 351,7°
Epookki: 2021 DEC 15 23:32:45
orbit plot

Ei-interaktiivinen kuvaaja | Interaktiivinen kuvaaja

position vs time
speed and acceleration

Larvik (LAR) cam4


gnomonic
Videot:
• Gnomoninen
• Gnomoninen koordinaateilla
• Alkuperäinen
• Alkuperäinen koordinaateilla
Kuvat:
• Gnomoninen
• Gnomoninen koordinaateilla
• Gnomoninen merkinnöillä
• Alkuperäinen
• Alkuperäinen koordinaateilla
• Alkuperäinen maskilla
Tekstitiedostot:
• Havaintoraportti
• Observaatio
• Koordinaatit
• Virheilmoitukset
• Loki
Kirkkaus