🇳🇴 🇬🇧 🇩🇪 🇨🇿 🇫🇮

Meteor, poloha: HenĂĄn 2021-12-16 01:47:42 UTC

Soubor KML  |  InteraktivnĂ­ mapa

Mapa zobrazuje dráhy meteoru. Světlejší čáry ukazují směry od pozorovacích stanic při objevení se meteoru a tmavší čáry, kde byl naposledy viděn. Modrá šipka značí viditelnou dráhu meteoru.

static map
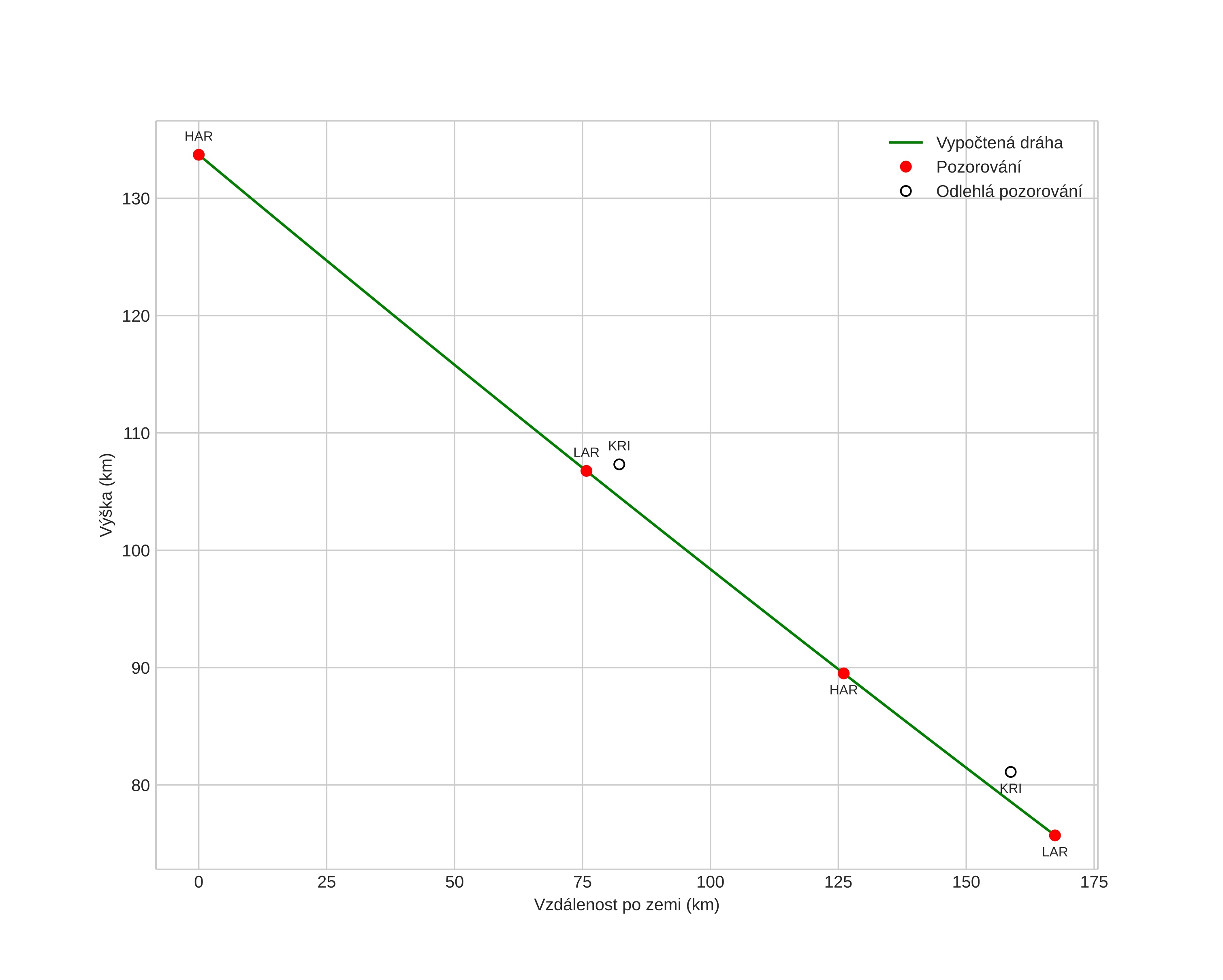
height profile
Atmosférická dráha meteoru:
Počáteční výška: 117,7 km
Konečná výška: 81,0 km
Počáteční poloha: 57,495N 12,543E
Konečná poloha: 58,328N 11,747E
Směr: 333,5°
Sklon: 19,5°
VstupnĂ­ rychlost: 67,6 km/s
Rektascenze radiantu: 09:57 (149,3°)
Deklinace radiantu: -10,4°
MeteorickĂ˝ roj: sporadickĂ˝
Elementy dráhy meteoroidu:
Vzdálenost v periheliu: 0,765 AU
Excentricita: 1,001
Sklon dráhy: 139,5°
Délka vzestupného uzlu: 84,0°
Argument perihelia: 56,3°
Střední anomálie: -0,0°
Epocha: 2021 DEC 16 01:47:42
orbit plot

NeinteraktivnĂ­ graf | InteraktivnĂ­ graf

position vs time
speed and acceleration