🇳🇴 🇬🇧 🇩🇪 🇨🇿 🇫🇮

Meteor Henånin yllä 2021-12-16 01:47:42 UTC

KML-tiedosto  |  Interaktiivinen kartta

Kartta näyttää meteorin suuntahavainnot. Vaaleammat viivat näyttävät suunnat havaintoasemilta meteorin ilmestyessä, ja tummemmat viivat näyttävät, missä se viimeksi nähtiin. Sininen nuoli näyttää meteorin näkyvän lennon.

static map
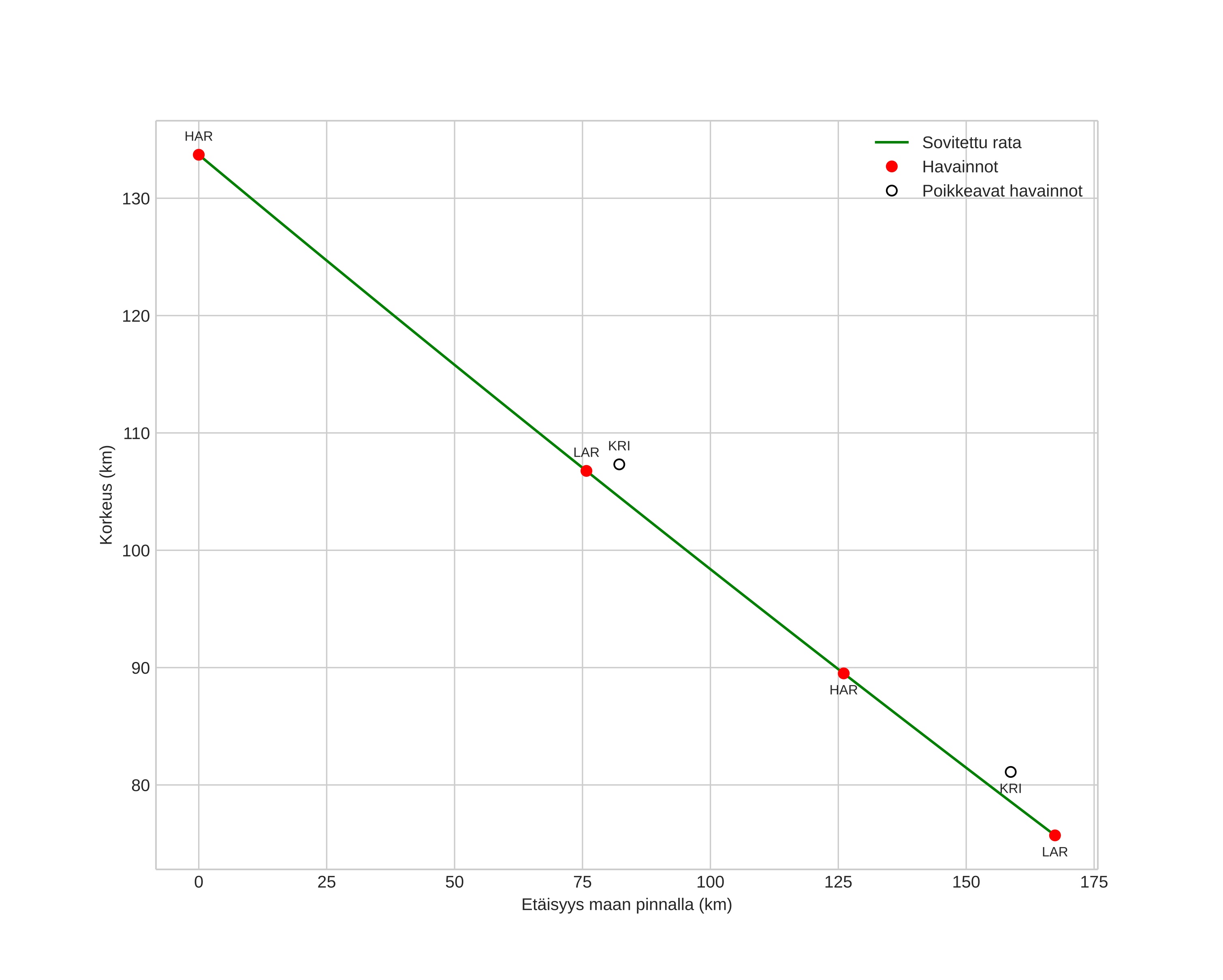
height profile
Meteorin ilmakehärata:
Alkukorkeus: 117,7 km
Loppukorkeus: 81,0 km
Alkupiste: 57,495N 12,543E
Loppupiste: 58,328N 11,747E
Suunta: 333,5°
Kallistuskulma: 19,5°
Tulonopeus: 67,6 km/s
Radiantin R,A,: 09:57 (149,3°)
Radiantin Dekl,: -10,4°
Meteoriparvi: Sporadinen
Meteoroidin rataelementit:
Perihelietäisyys: 0,765 AU
Eksentrisyys: 1,001
Inklinaatio: 139,5°
Nousevan solmun pituus: 84,0°
Perihelin argumentti: 56,3°
Keskianomalia: -0,0°
Epookki: 2021 DEC 16 01:47:42
orbit plot

Ei-interaktiivinen kuvaaja | Interaktiivinen kuvaaja

position vs time
speed and acceleration