🇳🇴 🇬🇧 🇩🇪 🇨🇿 🇫🇮

Meteor, poloha: Vigrestad 2021-12-19 21:47:43 UTC

Soubor KML  |  InteraktivnĂ­ mapa

Mapa zobrazuje dráhy meteoru. Světlejší čáry ukazují směry od pozorovacích stanic při objevení se meteoru a tmavší čáry, kde byl naposledy viděn. Modrá šipka značí viditelnou dráhu meteoru.

static map
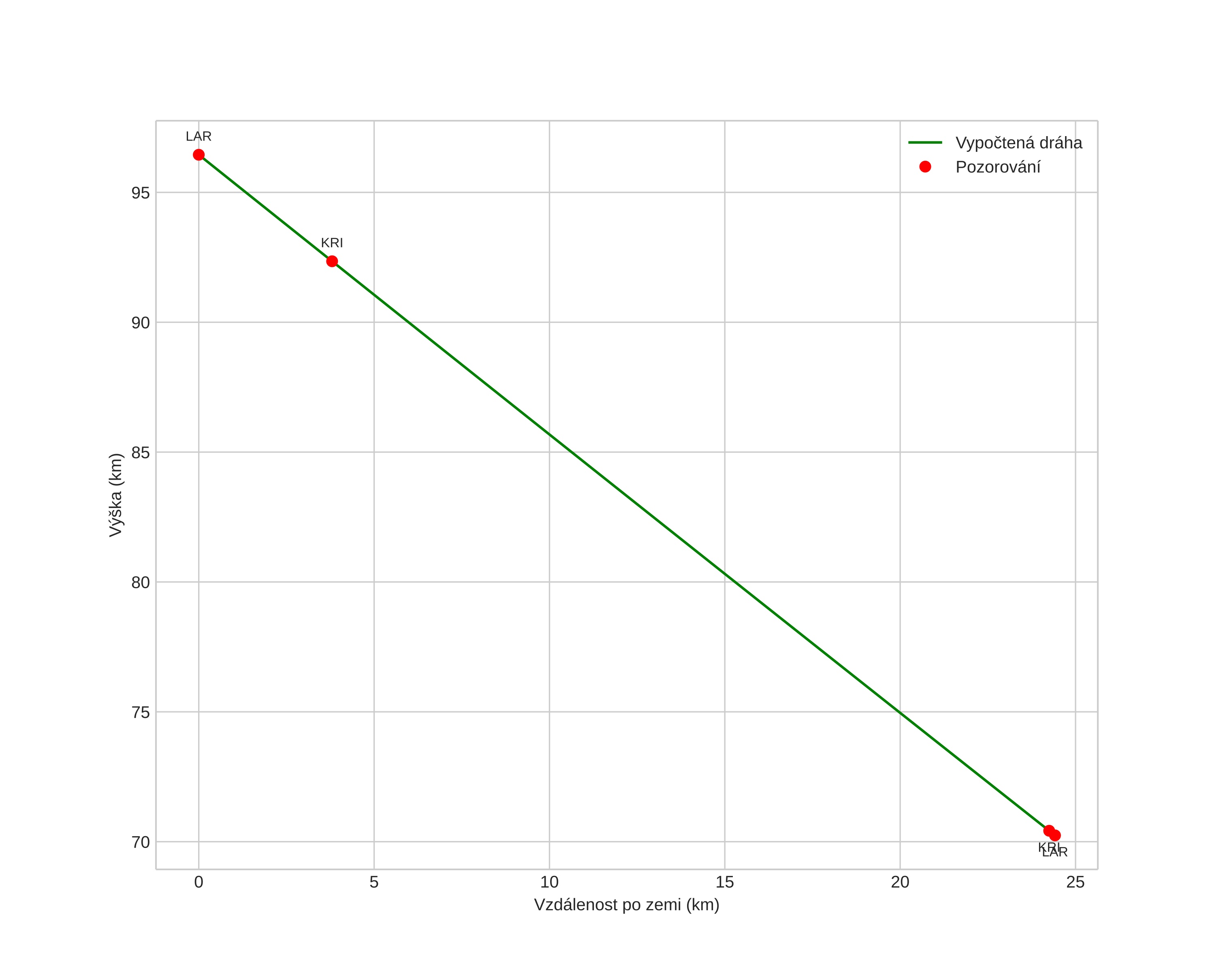
height profile
Atmosférická dráha meteoru:
Počáteční výška: 98,2 km
Konečná výška: 68,7 km
Počáteční poloha: 58,288N 5,012E
Konečná poloha: 58,054N 4,970E
Směr: 185,4°
Sklon: 48,5°
VstupnĂ­ rychlost: 35,6 km/s
Rektascenze radiantu: 14:54 (223,6°)
Deklinace radiantu: 78,9°
MeteorickĂ˝ roj: Ursidy
Elementy dráhy meteoroidu:
Vzdálenost v periheliu: 0,937 AU
Excentricita: 0,950
Sklon dráhy: 51,9°
Délka vzestupného uzlu: 267,9°
Argument perihelia: 205,6°
Střední anomálie: 359,8°
Epocha: 2021 DEC 19 21:47:43
orbit plot

NeinteraktivnĂ­ graf | InteraktivnĂ­ graf

position vs time
speed and acceleration