🇳🇴 🇬🇧 🇩🇪 🇨🇿 🇫🇮

Meteor Vigrestadin yllä 2021-12-19 21:47:43 UTC

KML-tiedosto  |  Interaktiivinen kartta

Kartta näyttää meteorin suuntahavainnot. Vaaleammat viivat näyttävät suunnat havaintoasemilta meteorin ilmestyessä, ja tummemmat viivat näyttävät, missä se viimeksi nähtiin. Sininen nuoli näyttää meteorin näkyvän lennon.

static map
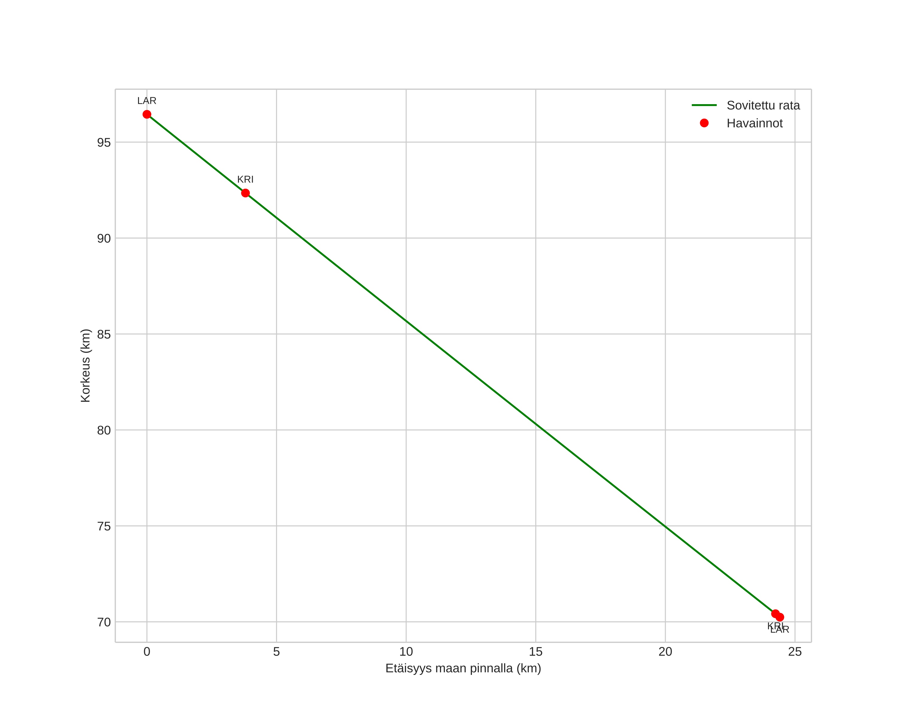
height profile
Meteorin ilmakehärata:
Alkukorkeus: 98,2 km
Loppukorkeus: 68,7 km
Alkupiste: 58,288N 5,012E
Loppupiste: 58,054N 4,970E
Suunta: 185,4°
Kallistuskulma: 48,5°
Tulonopeus: 35,6 km/s
Radiantin R,A,: 14:54 (223,6°)
Radiantin Dekl,: 78,9°
Meteoriparvi: Ursidit
Meteoroidin rataelementit:
Perihelietäisyys: 0,937 AU
Eksentrisyys: 0,950
Inklinaatio: 51,9°
Nousevan solmun pituus: 267,9°
Perihelin argumentti: 205,6°
Keskianomalia: 359,8°
Epookki: 2021 DEC 19 21:47:43
orbit plot

Ei-interaktiivinen kuvaaja | Interaktiivinen kuvaaja

position vs time
speed and acceleration

Larvik (LAR) cam4


gnomonic
Videot:
• Gnomoninen
• Gnomoninen koordinaateilla
• Alkuperäinen
• Alkuperäinen koordinaateilla
Kuvat:
• Gnomoninen
• Gnomoninen koordinaateilla
• Gnomoninen merkinnöillä
• Alkuperäinen
• Alkuperäinen koordinaateilla
• Alkuperäinen maskilla
Tekstitiedostot:
• Havaintoraportti
• Observaatio
• Koordinaatit
• Virheilmoitukset
• Loki
Kirkkaus