🇳🇴 🇬🇧 🇩🇪 🇨🇿 🇫🇮

Meteor, poloha: Ålbæk 2021-12-21 01:23:28 UTC

Soubor KML  |  InteraktivnĂ­ mapa

Mapa zobrazuje dráhy meteoru. Světlejší čáry ukazují směry od pozorovacích stanic při objevení se meteoru a tmavší čáry, kde byl naposledy viděn. Modrá šipka značí viditelnou dráhu meteoru.

static map
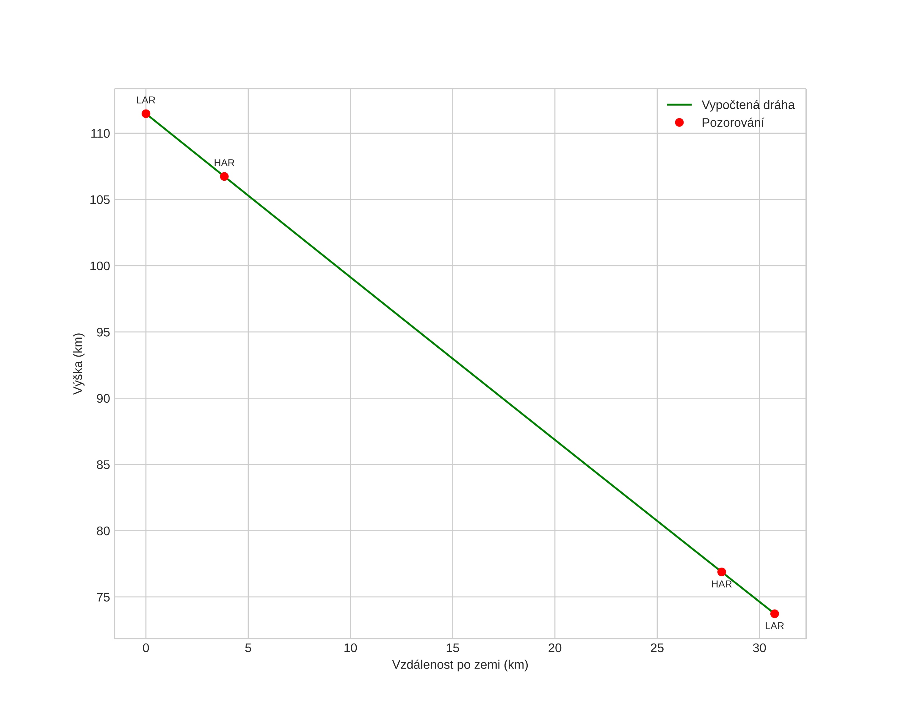
height profile
Atmosférická dráha meteoru:
Počáteční výška: 127,5 km
Konečná výška: 93,7 km
Počáteční poloha: 57,802N 10,950E
Konečná poloha: 57,692N 10,396E
Směr: 249,8°
Sklon: 43,9°
VstupnĂ­ rychlost: 49,7 km/s
Rektascenze radiantu: 13:13 (198,5°)
Deklinace radiantu: 45,8°
MeteorickĂ˝ roj: sporadickĂ˝
Elementy dráhy meteoroidu:
Vzdálenost v periheliu: 0,968 AU
Excentricita: 0,462
Sklon dráhy: 92,7°
Délka vzestupného uzlu: 269,1°
Argument perihelia: 198,2°
Střední anomálie: 354,0°
Epocha: 2021 DEC 21 01:23:28
orbit plot

NeinteraktivnĂ­ graf | InteraktivnĂ­ graf

position vs time
speed and acceleration