🇳🇴 🇬🇧 🇩🇪 🇨🇿 🇫🇮

Meteor Ålbækin yllä 2021-12-21 01:23:28 UTC

KML-tiedosto  |  Interaktiivinen kartta

Kartta näyttää meteorin suuntahavainnot. Vaaleammat viivat näyttävät suunnat havaintoasemilta meteorin ilmestyessä, ja tummemmat viivat näyttävät, missä se viimeksi nähtiin. Sininen nuoli näyttää meteorin näkyvän lennon.

static map
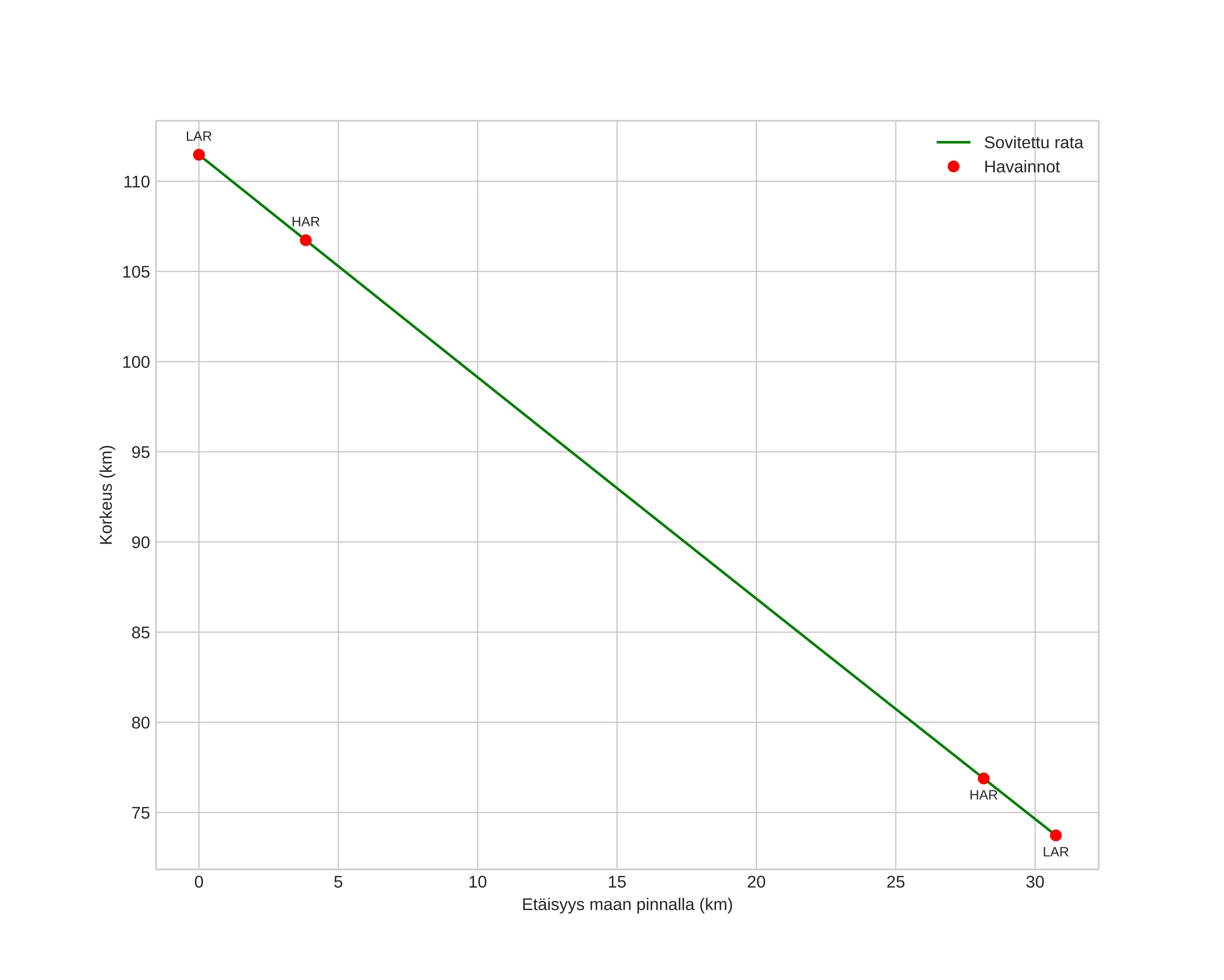
height profile
Meteorin ilmakehärata:
Alkukorkeus: 127,5 km
Loppukorkeus: 93,7 km
Alkupiste: 57,802N 10,950E
Loppupiste: 57,692N 10,396E
Suunta: 249,8°
Kallistuskulma: 43,9°
Tulonopeus: 49,7 km/s
Radiantin R,A,: 13:13 (198,5°)
Radiantin Dekl,: 45,8°
Meteoriparvi: Sporadinen
Meteoroidin rataelementit:
Perihelietäisyys: 0,968 AU
Eksentrisyys: 0,462
Inklinaatio: 92,7°
Nousevan solmun pituus: 269,1°
Perihelin argumentti: 198,2°
Keskianomalia: 354,0°
Epookki: 2021 DEC 21 01:23:28
orbit plot

Ei-interaktiivinen kuvaaja | Interaktiivinen kuvaaja

position vs time
speed and acceleration