🇳🇴 🇬🇧 🇩🇪 🇨🇿 🇫🇮

Meteor, poloha: Bygland 2021-12-24 21:18:46 UTC

Soubor KML  |  InteraktivnĂ­ mapa

Mapa zobrazuje dráhy meteoru. Světlejší čáry ukazují směry od pozorovacích stanic při objevení se meteoru a tmavší čáry, kde byl naposledy viděn. Modrá šipka značí viditelnou dráhu meteoru.

static map
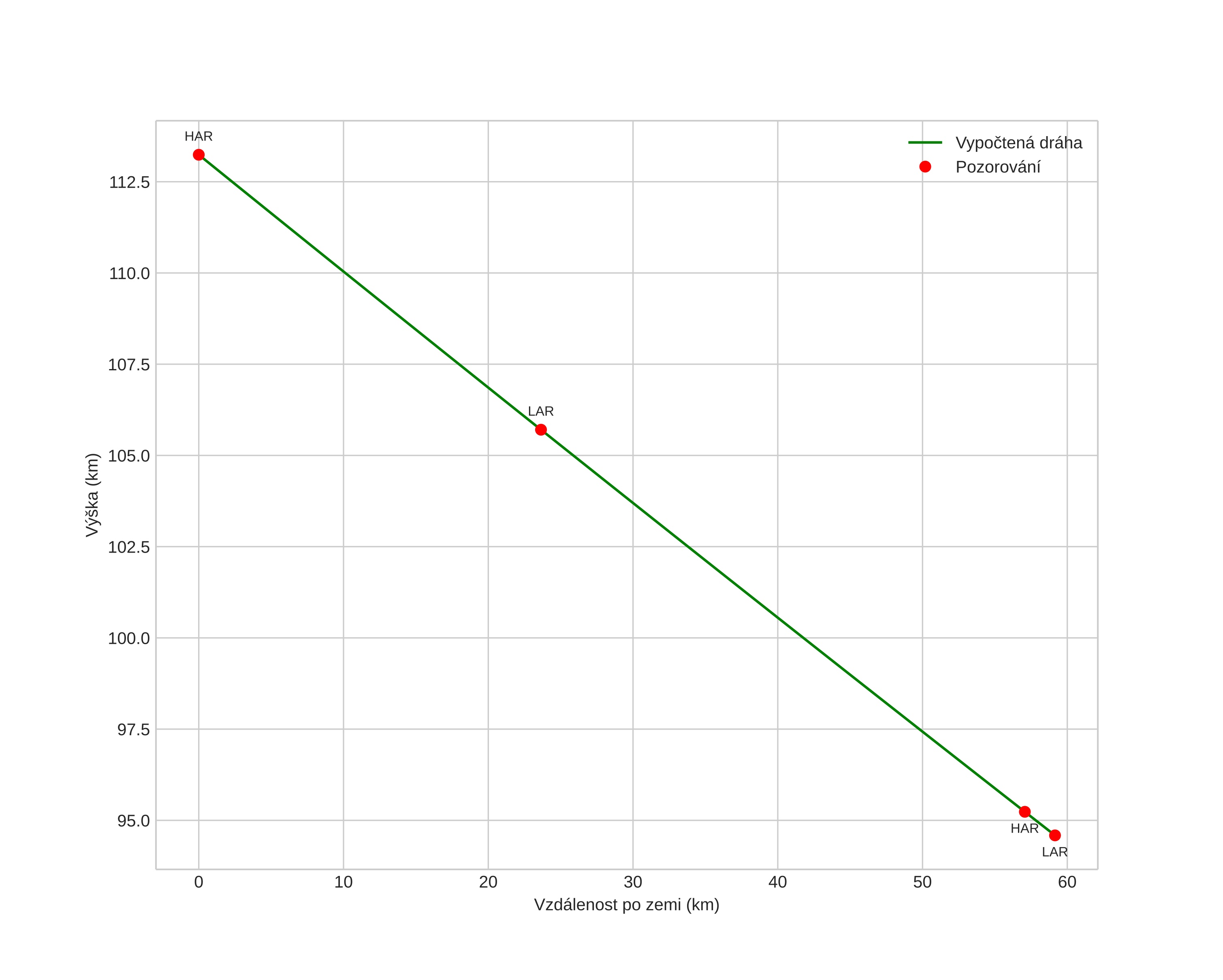
height profile
Atmosférická dráha meteoru:
Počáteční výška: 108,6 km
Konečná výška: 94,3 km
Počáteční poloha: 59,037N 8,538E
Konečná poloha: 58,848N 7,834E
Směr: 242,8°
Sklon: 17,4°
VstupnĂ­ rychlost: 65,6 km/s
Rektascenze radiantu: 11:05 (166,4°)
Deklinace radiantu: 28,5°
MeteorickĂ˝ roj: desember-leonis-minoridene
Elementy dráhy meteoroidu:
Vzdálenost v periheliu: 0,582 AU
Excentricita: 1,013
Sklon dráhy: 135,7°
Délka vzestupného uzlu: 273,0°
Argument perihelia: 259,1°
Střední anomálie: -0,1°
Epocha: 2021 DEC 24 21:18:46
orbit plot

NeinteraktivnĂ­ graf | InteraktivnĂ­ graf

position vs time
speed and acceleration