🇳🇴 🇬🇧 🇩🇪 🇨🇿 🇫🇮

Meteor Byglandin yllä 2021-12-24 21:18:46 UTC

KML-tiedosto  |  Interaktiivinen kartta

Kartta näyttää meteorin suuntahavainnot. Vaaleammat viivat näyttävät suunnat havaintoasemilta meteorin ilmestyessä, ja tummemmat viivat näyttävät, missä se viimeksi nähtiin. Sininen nuoli näyttää meteorin näkyvän lennon.

static map
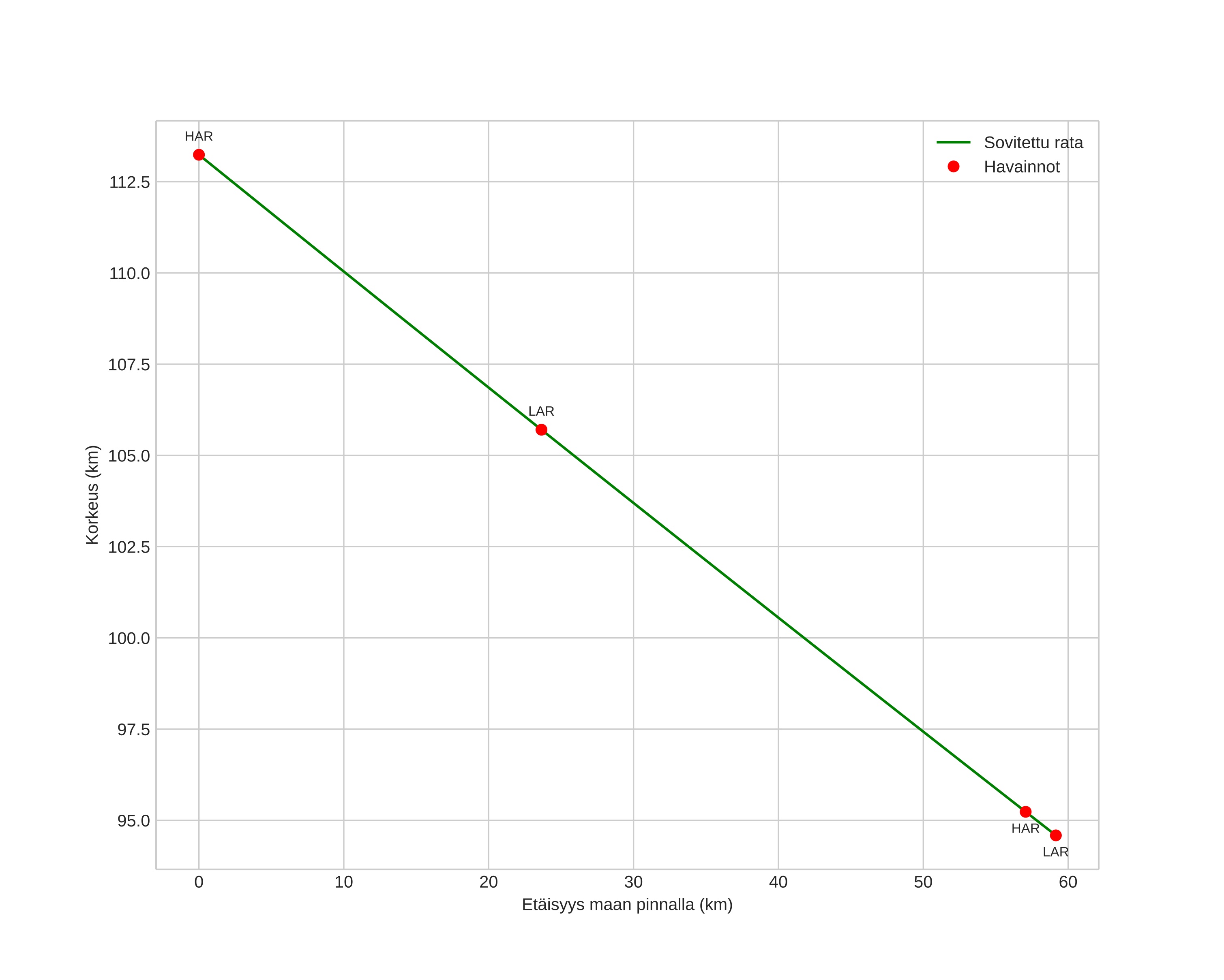
height profile
Meteorin ilmakehärata:
Alkukorkeus: 108,6 km
Loppukorkeus: 94,3 km
Alkupiste: 59,037N 8,538E
Loppupiste: 58,848N 7,834E
Suunta: 242,8°
Kallistuskulma: 17,4°
Tulonopeus: 65,6 km/s
Radiantin R,A,: 11:05 (166,4°)
Radiantin Dekl,: 28,5°
Meteoriparvi: desember-leonis-minoridene
Meteoroidin rataelementit:
Perihelietäisyys: 0,582 AU
Eksentrisyys: 1,013
Inklinaatio: 135,7°
Nousevan solmun pituus: 273,0°
Perihelin argumentti: 259,1°
Keskianomalia: -0,1°
Epookki: 2021 DEC 24 21:18:46
orbit plot

Ei-interaktiivinen kuvaaja | Interaktiivinen kuvaaja

position vs time
speed and acceleration