🇳🇴 🇬🇧 🇩🇪 🇨🇿 🇫🇮

Meteor, poloha: Hauge i Dalane 2022-01-03 21:15:28 UTC

Soubor KML  |  InteraktivnĂ­ mapa

Mapa zobrazuje dráhy meteoru. Světlejší čáry ukazují směry od pozorovacích stanic při objevení se meteoru a tmavší čáry, kde byl naposledy viděn. Modrá šipka značí viditelnou dráhu meteoru.

static map
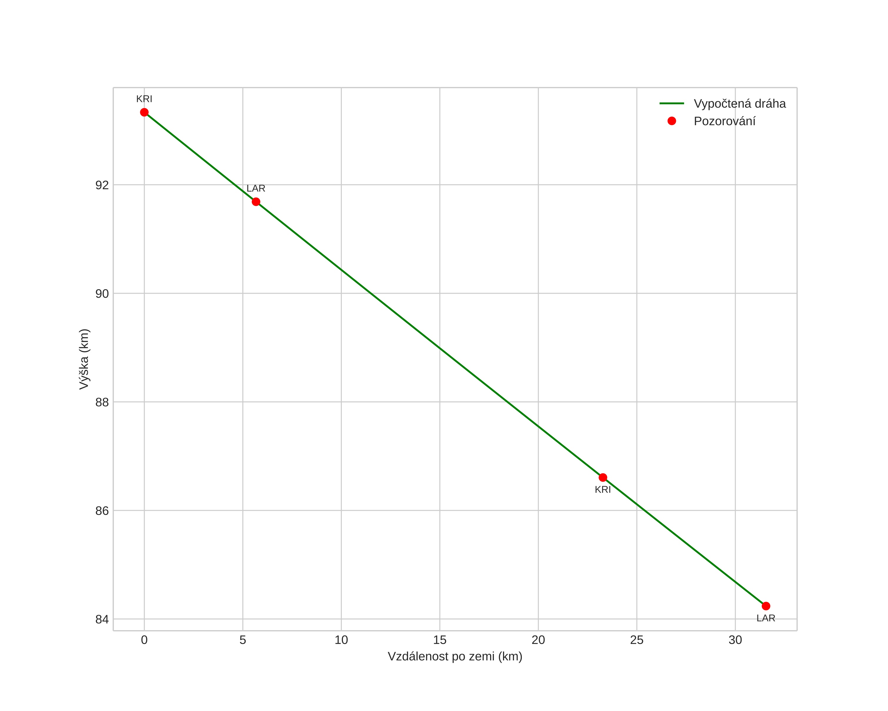
height profile
Atmosférická dráha meteoru:
Počáteční výška: 93,3 km
Konečná výška: 84,2 km
Počáteční poloha: 58,426N 6,274E
Konečná poloha: 58,155N 6,115E
Směr: 197,1°
Sklon: 16,1°
VstupnĂ­ rychlost: 45,0 km/s
Rektascenze radiantu: 15:01 (225,3°)
Deklinace radiantu: 44,7°
MeteorickĂ˝ roj: Kvadrantidy
Elementy dráhy meteoroidu:
Vzdálenost v periheliu: 0,976 AU
Excentricita: 0,571
Sklon dráhy: 78,8°
Délka vzestupného uzlu: 283,2°
Argument perihelia: 168,1°
Střední anomálie: 2,7°
Epocha: 2022 JAN 03 21:15:28
orbit plot

NeinteraktivnĂ­ graf | InteraktivnĂ­ graf

position vs time
speed and acceleration